Mathematical methods: logarithms question

Click For Summary

Homework Help Overview

The discussion revolves around a mathematical problem involving hyperbolic functions and exponential identities. The original poster seeks assistance in demonstrating the equivalence of the left-hand side and right-hand side of an equation involving sinh and exponential terms.

Discussion Character

  • Exploratory, Mathematical reasoning, Problem interpretation

Approaches and Questions Raised

  • Participants explore the factorization of the numerator and question how to extract common factors. There is discussion about the potential for the terms in the numerator to form a geometric progression, though this is later challenged.

Discussion Status

Participants are actively engaging with the problem, offering hints and suggestions for factorization. Some have noted the curious title of the thread in relation to the content of the question. There is a sense of progress as participants share insights about expressing terms in different forms.

Contextual Notes

There is a mention of homework constraints and the need to show equivalence without providing a complete solution. The original poster expresses uncertainty about the next steps in their reasoning.

StillAnotherDave
Messages
74
Reaction score
8
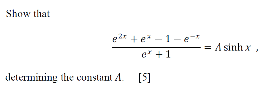
Homework Statement
The question is simply to show that the LHS of the equation equals the RHS and determine the value of A.
Relevant Equations
(e^2x+e^x-1-e^(-x))/(e^x+1)=Asinhx
I know that sinhx = 1/2(e^x-e^-x) and that e^2x-1 = e^x(e^x-e^-x) and similar identities but don't know how to get any further. Any hints at where to go with this would be appreciated.
 
Physics news on Phys.org
StillAnotherDave said:
Homework Statement: The question is simply to show that the LHS of the equation equals the RHS and determine the value of A.
Homework Equations: (e^2x+e^x-1-e^(-x))/(e^x+1)=Asinhx

I know that sinhx = 1/2(e^x-e^-x) and that e^2x-1 = e^x(e^x-e^-x) and similar identities but don't know how to get any further. Any hints at where to go with this would be appreciated.

Hint: try to factorise.
 
1572797121242.png
 
I guessed that was what it was!
 
Yep, I get that the there should be some way to extract a factor but don't know how! Is there a way to take out a factor of e^x + 1 from the numerator for example?
 
StillAnotherDave said:
Yep, I get that the there should be some way to extract a factor but don't know how! Is there a way to take out a factor of e^x + 1 from the numerator for example?

Yes there is. What do you have to multiply ##e^x + 1## by to get the numerator?
 
Okay, that sounds promising. Let me play around with that and get back to you. Thanks!
 
It seems too the terms of the numerator form a G.P. Maybe that will help.
 
It's curious that the title of the thread is "logarithms question" but there are no logs in the question. o0)
 
  • Like
Likes   Reactions: StillAnotherDave
  • #10
DEvens said:
It's curious that the title of the thread is "logarithms question" but there are no logs in the question. o0)

Very true!
 
  • #11
Thanks all for the help. Once I realized (the obvious) that "1" can be expressed in terms of e things resolved themselves.
 
  • #12
WWGD said:
It seems too the terms of the numerator form a G.P. Maybe that will help.
No, that doesn't help. The terms would form a geometric progression if all of them were the same sign, but that's not the case here.
 
  • #13
StillAnotherDave said:
Thanks all for the help. Once I realized (the obvious) that "1" can be expressed in terms of e things resolved themselves.
It's simpler to just factor things. The numerator is ##e^{2x} + e^x - 1 - e^{-x} = e^x(e^x + 1) - e^{-x}(e^x + 1) = (e^x - e^{-x})(e^x + 1)##
 
  • #14
Mark44 said:
It's simpler to just factor things. The numerator is ##e^{2x} + e^x - 1 - e^{-x} = e^x(e^x + 1) - e^{-x}(e^x + 1) = (e^x - e^{-x})(e^x + 1)##

Yep. That's what I meant. Initially I didn't see that ##e^{-x}e^{x}## is equivalent to 1.
 
  • #15
Mark44 said:
No, that doesn't help. The terms would form a geometric progression if all of them were the same sign, but that's not the case here.
Or if the signs were alternating, but that's not the case either. Will have my espresso _ before_ PF'ing from now on :).
 

Similar threads

  • · Replies 4 ·
Replies
4
Views
1K
  • · Replies 3 ·
Replies
3
Views
1K
  • · Replies 2 ·
Replies
2
Views
1K
  • · Replies 4 ·
Replies
4
Views
2K
Replies
2
Views
1K
  • · Replies 12 ·
Replies
12
Views
2K
  • · Replies 1 ·
Replies
1
Views
2K
  • · Replies 2 ·
Replies
2
Views
2K
  • · Replies 4 ·
Replies
4
Views
2K