Maximizing the fraction of two integrals using matlab

Click For Summary
SUMMARY

This discussion focuses on maximizing the fraction of two integrals using MATLAB, specifically with respect to the variable 'a'. The user initially struggled to evaluate the integrals and sought assistance in using MATLAB for this purpose. Key steps provided include defining the functions using anonymous functions, creating a new function that computes the ratio of the integrals, and plotting the results to identify the maximum value. The conclusion reached is that the maximum value of the fraction is 0.

PREREQUISITES
  • Familiarity with MATLAB programming and syntax
  • Understanding of integral calculus and functions
  • Knowledge of anonymous functions in MATLAB
  • Basic plotting techniques in MATLAB
NEXT STEPS
  • Learn how to use MATLAB's integral function for numerical integration
  • Explore MATLAB's plotting functions to visualize mathematical results
  • Investigate optimization techniques in MATLAB, such as fminunc or fmincon
  • Study the use of Mathematica for integral evaluation and comparison with MATLAB
USEFUL FOR

Mathematics students, MATLAB users, and anyone interested in numerical optimization and integral calculus.

Verdict
Messages
114
Reaction score
0
EDIT:
I left out something of major importance, I want to maximize with respect to a!

Good day,

I've run into an issue in solving a certain problem with matlab, and I was hoping if anyone could help me out. I am relatively new to matlab, so I don't even know if this is possible, but I figured that in principle it should be.

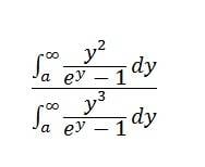
What I want to do is maximize

integrals.jpg


for positive values of a.
With the calculus I know, I can't evaluate these integrals, so I have no applicable formula's so I am pretty stuck at this point. I tried using mathematica, and although it can evaluate the integrals, it cannot maximize the fraction. So instead I figured I should use MATLAB (which I also have to my disposal) to do so instead, but I simply don't know how. I don't get much further than defining the integrals, as
fun1 = @(x) x.^2./(exp(x)-1);
fun2 = @(x) x.^3./(exp(x)-1);

Could anyone help me out?

Kind regards
 
Last edited:
Physics news on Phys.org
Given the Mathematica can solve the integrals - then just use a as a parameter and plot the ratio for a running from 0 to 100 by steps of 1 - and look at the plot.

Mathematica will be a better tool for this type of work than Matlab.
 
That's not true at all, MATLAB can handle problems like this just fine.

1. Define the functions. You got this part already.

Code:
fun1 = @(x) x.^2./(exp(x)-1);
fun2 = @(x) x.^3./(exp(x)-1);

2. Define the function with a parameter.

Code:
q = @(a) integral(fun1,a,Inf)./integral(fun2,a,Inf);

3. Plot the results and read the maximum off the plot.

Code:
for j=0:100
    Q(j+1) = q(j);
end
plot(0:100,Q)

The answer is 0, which is rather intuitive when you think about it.
 

Attachments

  • plot.png
    plot.png
    1.3 KB · Views: 542

Similar threads

  • · Replies 5 ·
Replies
5
Views
4K
  • · Replies 32 ·
2
Replies
32
Views
4K
  • · Replies 1 ·
Replies
1
Views
2K
  • · Replies 10 ·
Replies
10
Views
3K
  • · Replies 1 ·
Replies
1
Views
3K
  • · Replies 5 ·
Replies
5
Views
3K
  • · Replies 7 ·
Replies
7
Views
2K
  • · Replies 7 ·
Replies
7
Views
2K
  • · Replies 8 ·
Replies
8
Views
3K
  • · Replies 5 ·
Replies
5
Views
3K