Mechanical energy- how to solve for v

Click For Summary

Homework Help Overview

The discussion revolves around a mechanical energy problem where participants are attempting to solve for the variable \( v \) in the context of energy equations involving kinetic and potential energy. The original poster expresses confusion regarding algebraic simplifications and the manipulation of terms in the equation.

Discussion Character

  • Mathematical reasoning, Problem interpretation, Assumption checking

Approaches and Questions Raised

  • Participants discuss factoring out mass from the energy equation and canceling terms. There is uncertainty about how to eliminate the factor of 1/2 from the equation and how to isolate \( v_A \). Some suggest multiplying by 2 as a potential step to simplify the equation.

Discussion Status

The discussion is active, with participants exploring various algebraic manipulations and questioning the steps taken in the original solution. Some guidance has been offered regarding isolating terms and addressing the factors of 1/2, but there is no explicit consensus on the correct approach yet.

Contextual Notes

Participants are working under the constraints of a homework assignment, which may limit the information they can use or reference. There is an emphasis on understanding the algebraic steps rather than arriving at a final answer.

Woopa
Messages
20
Reaction score
4
Homework Statement
Mechanical energy. Solve for v
Relevant Equations
1/2mv^2 + mgh
Hi there,

I am doing a mechanical energy question. I think the solution is simple but I'm stuck on an algebra step.

1615861678345.png

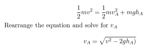
This is the solution but I am really not sure how they have simplified down to Va.

For example I tried to factor out the m resulting in

1/2mv^2=m(1/2va^2+gh)

Then I cancel the m

1/2v^2= 1/2va^2+gh

From here I am not really sure what they did to arrive at the final answer
 
Physics news on Phys.org
Woopa said:
Homework Statement:: Mechanical energy. Solve for v
Relevant Equations:: 1/2mv^2 + mgh

Hi there,

I am doing a mechanical energy question. I think the solution is simple but I'm stuck on an algebra step.

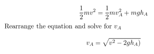
View attachment 279825
This is the solution but I am really not sure how they have simplified down to Va.

For example I tried to factor out the m resulting in

1/2mv^2=m(1/2va^2+gh)

Then I cancel the m

1/2v^2= 1/2va^2+gh

From here I am not really sure what they did to arrive at the final answer
You can see they got rid of the factors of 1/2. How would you do that?
They also got vA on one side of the equation and everything else on the other , so do that.
 
haruspex said:
You can see they got rid of the factors of 1/2. How would you do that?
They also got vA on one side of the equation and everything else on the other , so do that.
I'm really not sure how they got rid of the factors of 1/2. Can you help me?

Getting VA to one side is easy enough for me. Starting with ½v^2=½VA^2+gh after factoring out m, I would then just subtract gh resulting in 1/2 v^2-gh= 1/2 VA^2.

Still really not sure how they got rid of the halfs. My first thought is to multiply by 2 but that doesn't give me the answer
 
Woopa said:
My first thought is to multiply by 2
It gets rid of the halves, so do it.
With vA alone on one side, what is your equation now?
 
haruspex said:
It gets rid of the halves, so do it.
With vA alone on one side, what is your equation now?

If I multiply by 2 and then sqrt I end up with

VA=√ v^2-gh

I'm just missing the 2gh
 
Woopa said:
If I multiply by 2 and then sqrt I end up with

VA=√ v^2-gh

I'm just missing the 2gh
Then you did not get rid of the halves correctly. Retry that step.
 
haruspex said:
Then you did not get rid of the halves correctly. Retry that step.
It's just clicked! Thank you for the prompts I've got it
 

Similar threads

  • · Replies 9 ·
Replies
9
Views
2K
Replies
2
Views
2K
  • · Replies 2 ·
Replies
2
Views
1K
  • · Replies 10 ·
Replies
10
Views
3K
  • · Replies 37 ·
2
Replies
37
Views
2K
  • · Replies 15 ·
Replies
15
Views
4K
  • · Replies 15 ·
Replies
15
Views
2K
Replies
41
Views
4K
  • · Replies 7 ·
Replies
7
Views
3K
Replies
1
Views
2K