Metamerism (vector-matrix representation of color perception)

Click For Summary
SUMMARY

This discussion focuses on metamerism in color perception using vector-matrix representation. The user seeks clarification on how two objects can appear the same under illuminant spectrum A but differ under illuminant spectrum B. The importance of defining variables and functions related to color perception is emphasized for better assistance. The conversation highlights the necessity of understanding the underlying principles of color theory and the impact of different illuminants on color appearance.

PREREQUISITES
  • Understanding of metamerism in color theory
  • Familiarity with vector-matrix representation
  • Knowledge of illuminant spectra, specifically illuminant A and B
  • Basic principles of color perception and color mixing
NEXT STEPS
  • Research the principles of metamerism in color science
  • Learn about vector-matrix transformations in color representation
  • Study the characteristics of different illuminants, focusing on illuminant A and B
  • Explore the role of color perception in digital imaging and display technologies
USEFUL FOR

This discussion is beneficial for color scientists, graphic designers, and anyone involved in digital imaging or color calibration who seeks to understand the complexities of color perception under varying lighting conditions.

nao113
Messages
68
Reaction score
13
Homework Statement
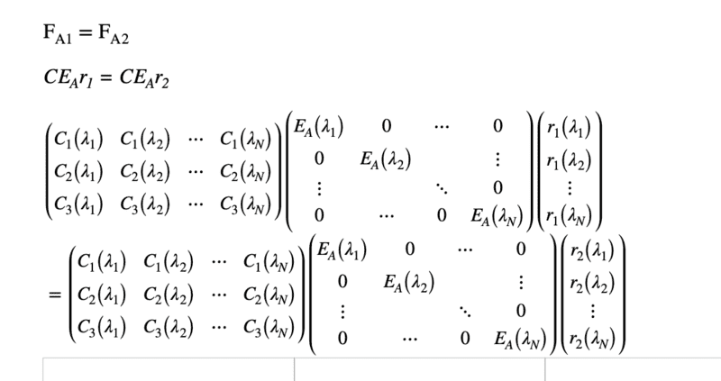
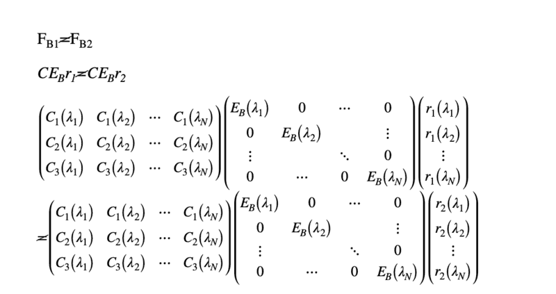
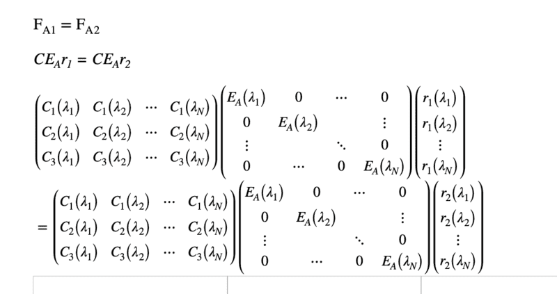
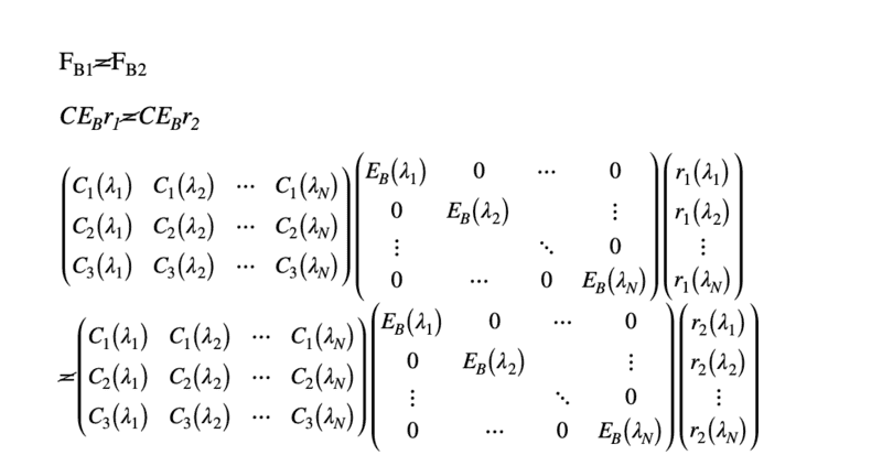
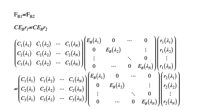
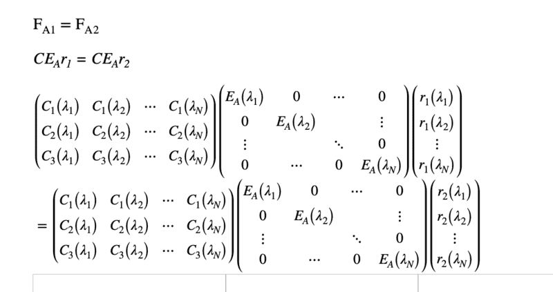
I want to explain metamerism by using vector-matrix representation of color perception. So, here, there are 2 conditions where the both objects produce the same color with illuminant spectrum A, and the both objects produce the different color with illuminant spectrum B
Relevant Equations
in the picture below
For the illuminant A

Screen Shot 2022-06-22 at 13.01.31.png

for the illuminant B
Screen Shot 2022-06-22 at 13.01.37.png

Did I got them correct? Thank you
 
Physics news on Phys.org
nao113 said:
Homework Statement:: I want to explain metamerism by using vector-matrix representation of color perception. So, here, there are 2 conditions where the both objects produce the same color with illuminant spectrum A, and the both objects produce the different color with illuminant spectrum B
Relevant Equations:: in the picture below

For the illuminant A

View attachment 303155
for the illuminant B
View attachment 303156
Did I got them correct? Thank you
You are much more likely to get help with this if you take the trouble to define the variables and functions. If they’re standard within the topic, perhaps you can provide a link.
 
  • Like
Likes   Reactions: berkeman

Similar threads

  • · Replies 7 ·
Replies
7
Views
2K
Replies
4
Views
2K
  • · Replies 2 ·
Replies
2
Views
2K
  • · Replies 5 ·
Replies
5
Views
2K
  • · Replies 20 ·
Replies
20
Views
2K
  • · Replies 7 ·
Replies
7
Views
3K
  • · Replies 1 ·
Replies
1
Views
1K
  • · Replies 37 ·
2
Replies
37
Views
8K
Replies
9
Views
2K