Moment of Inertia of Solid Sphere - Proof

Click For Summary

Homework Help Overview

The discussion revolves around deriving the moment of inertia of a solid sphere through its center of mass. The original poster presents their working, which yields a moment of inertia of I = (3/5)MR^2, while textbooks state it should be I = (2/5)MR^2. The context is clarified as not being an actual homework problem.

Discussion Character

  • Exploratory, Assumption checking, Conceptual clarification

Approaches and Questions Raised

  • Participants discuss the potential confusion arising from using the variable r to represent two different distances: one from the axis of rotation and the other from the center of the sphere. Questions are raised about the relationship between these distances and the correct definition of the infinitesimal volume element in the context of the moment of inertia.

Discussion Status

Several participants provide insights into the original poster's working, pointing out possible misunderstandings regarding the definitions and calculations involved. There is an ongoing exploration of the correct approach to deriving the moment of inertia, with no explicit consensus reached on the resolution of the issue.

Contextual Notes

Participants note that the problem may not be strictly a homework problem, yet it resembles one in its nature. There is a focus on clarifying definitions and ensuring the correct application of formulas related to the moment of inertia.

Math_Maniac
Messages
1
Reaction score
2
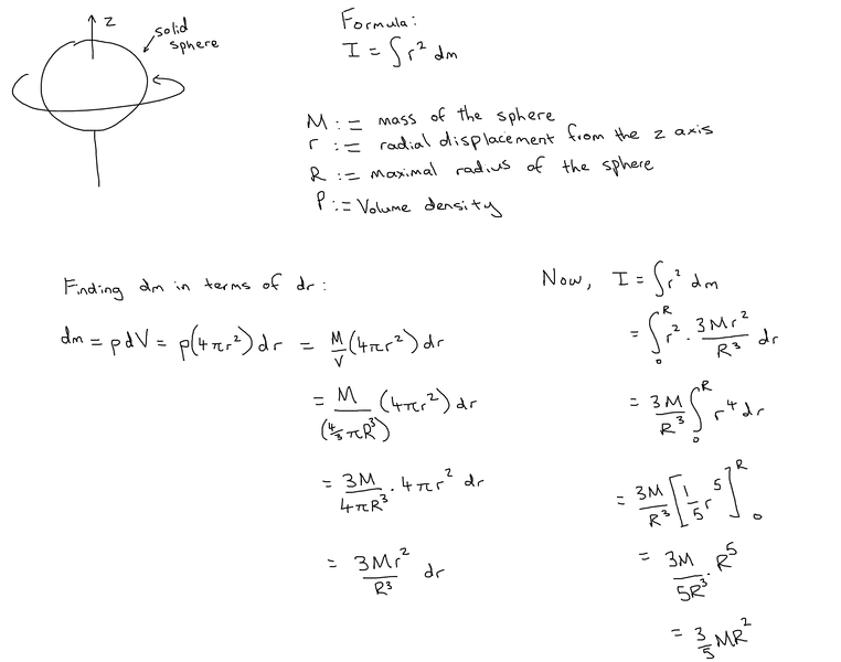
So I have been having a bit of trouble trying to derive the moment of inertia of a solid sphere through its center of mass. Here is my working as shown in the attached file.

The problem is, I end up getting a solution of I = (3/5)MR^2, whereas, in any textbook, it says that the inertia should be equal to I = (2/5)MR^2. Is anyone able to tell me where I went wrong in my working? This is not a homework problem by the way.

Thanks.
 

Attachments

  • Sphere.png
    Sphere.png
    18.5 KB · Views: 5,391
  • Like
Likes   Reactions: Delta2 and T dawg
Physics news on Phys.org
You are using ##r## with two different meanings and mixing them up. 1) The distance from the axis of rotation (the ##r## in the definition of the moment of inertia). 2) The distance from the centre of the sphere. These are not the same.

Math_Maniac said:
This is not a homework problem by the way.
Regardless of whether it is actual homework or not, it should be posted in the homework forums if it is homework-like.
 
  • Like
Likes   Reactions: Delta2
Just to add something to Orodruin's enlightening post,

In many moment of inertia calculations these two meanings happen to be the same thing (for example in the calculation of the Moment of Inertia of an infinitesimally thin circular disc, the distance from the axis of rotation (that passes through the center and is perpendicular to the plane of the disc) equals the distance from the center of the disc ) BUT in the general case they are not the same thing and in this case they are not the same thing.

What is the equation that relates r' (the distance from the axis of rotation) and r (the distance from the center of the sphere) in this case?

Also the dV you calculate is not the same as the dV that appears in the definition of the moment of inertia. You calculate the infinitesimal volume between a sphere with radius r and radius r+dr. But the dV in the integral in the definition of the moment of inertia is ##dV=r^2\sin\theta dr d\theta d\phi## (r is the distance from the center of the sphere). You just can't use your definition of dV because if you find the equation of r' correctly you ll see that it depends on ##\theta## and ##r## and not only ##r##.
 
Last edited:
Hey question poster.. The moment of inertia of a solid sphere about that axis is 2/5mR^2 and not 3/5mR^2.. the mistake you did there is that when you were writing the MOI of the infinitesimally small 3d element there, you should NOT use the formula dmr^2 but instead that is a hollow sphere!! See the infinitesimally small element you cut forms a hollow hemisphere!! There you derive THE MOI of solid sphere using MOI of hollow sphere that is using the formula (2/3 * dm r^2) this is what should be used! I hope that clarifies
 

Similar threads

  • · Replies 3 ·
Replies
3
Views
1K
  • · Replies 40 ·
2
Replies
40
Views
6K
Replies
17
Views
2K
  • · Replies 13 ·
Replies
13
Views
3K
Replies
11
Views
4K
Replies
16
Views
4K
  • · Replies 3 ·
Replies
3
Views
2K
Replies
335
Views
17K
  • · Replies 97 ·
4
Replies
97
Views
6K
Replies
8
Views
15K