Moment of Inertia: Problem 8 Homework Solutions

Click For Summary
SUMMARY

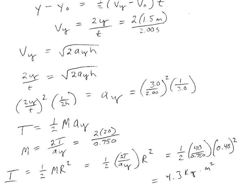
The discussion centers on solving Problem 8 related to the moment of inertia, with a calculated value of 4.3 kg*m². Participants debated the validity of using specific equations for velocity and acceleration in the context of a wheel assumed to be a uniform disk. The correct approach involves using the relationship between linear acceleration and angular acceleration, specifically a = rα, and applying the torque equation τ = Iα to solve for the moment of inertia directly.

PREREQUISITES
  • Understanding of moment of inertia concepts
  • Familiarity with torque equations
  • Knowledge of angular and linear acceleration relationships
  • Basic principles of rotational dynamics
NEXT STEPS
  • Study the derivation of the moment of inertia for different shapes
  • Learn about the relationship between linear and angular motion
  • Explore the application of torque in rotational systems
  • Investigate the assumptions made in rotational dynamics problems
USEFUL FOR

Students studying physics, particularly those focusing on mechanics and rotational dynamics, as well as educators seeking to clarify concepts related to moment of inertia.

jimbo71
Messages
80
Reaction score
0

Homework Statement


see problem 8 attachment


Homework Equations


see problem 8 attempt attachment


The Attempt at a Solution


see problem 8 attempt attachment
I think I have solved the problem correctly and through my method I determine the moment of inertia to be 4.3 kg*m^2. However I'm not sure if the equations I used to find velocity and acceleration are valid in this situation.
 

Attachments

  • 1031-10871-problem 8.jpg
    1031-10871-problem 8.jpg
    22.4 KB · Views: 421
  • 2899-33757-problem 8 attempt.jpg
    2899-33757-problem 8 attempt.jpg
    28.2 KB · Views: 402
Physics news on Phys.org
Hi jimbo71,

jimbo71 said:

Homework Statement


see problem 8 attachment


Homework Equations


see problem 8 attempt attachment


The Attempt at a Solution


see problem 8 attempt attachment
I think I have solved the problem correctly and through my method I determine the moment of inertia to be 4.3 kg*m^2. However I'm not sure if the equations I used to find velocity and acceleration are valid in this situation.

I think the assumption you have made (that is not necessarily true) is that the wheel is a uniform disk.

Once you found the linear acceleration of 0.75 m/s2, you can directly find the angular acceleration alpha from [itex]a=r\alpha[/itex].

Then you can use the torque equation like you did, but there is no need try to write out an expression for I, since I is what you want. Just use:

[tex] \tau = I\alpha[/tex]

and solve for I.
 

Similar threads

  • · Replies 40 ·
2
Replies
40
Views
6K
  • · Replies 13 ·
Replies
13
Views
3K
Replies
11
Views
4K
  • · Replies 6 ·
Replies
6
Views
1K
  • · Replies 21 ·
Replies
21
Views
3K
  • · Replies 28 ·
Replies
28
Views
2K
Replies
8
Views
15K
  • · Replies 4 ·
Replies
4
Views
2K
  • · Replies 4 ·
Replies
4
Views
2K
  • · Replies 16 ·
Replies
16
Views
2K