Motion Equations by Newton's Formalism for a Double Pendulum

Click For Summary

Discussion Overview

The discussion revolves around deriving the motion equations for a double pendulum using Newton's formalism, contrasting it with Lagrange's formalism. Participants explore the challenges and methodologies involved in this derivation.

Discussion Character

  • Technical explanation
  • Debate/contested
  • Mathematical reasoning

Main Points Raised

  • One participant mentions having a Lagrangian and seeks assistance in obtaining the second equation using Newton's approach.
  • Another participant suggests starting with a single torque equation for the entire system and a separate one for the lower rod, noting that the latter requires accounting for fictitious forces due to acceleration.
  • A participant indicates that the algebra involved in deriving the equations using Newton's formalism may be complex.
  • One participant expresses that they have already conducted free body diagrams for the masses involved but finds discrepancies between their results and expected equations.

Areas of Agreement / Disagreement

Participants do not appear to reach a consensus on the best approach to derive the equations using Newton's formalism, and multiple methodologies are discussed without resolution.

Contextual Notes

Participants reference the need for specific assumptions and the potential complexity of the algebra involved in the derivation process. There is an indication of unresolved steps in the mathematical analysis.

Daniel Boy
Messages
4
Reaction score
0
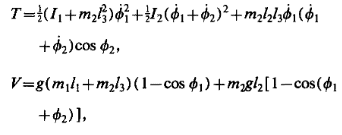
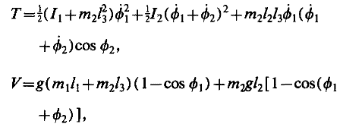
By Lagrange's formalism, the motion equations for double pendulum are:

Eq1.png


Using Newton's formalism I can't obtain the second equation. Anyone can help?
Dp.png
 
Engineering news on Phys.org
Hello @Daniel Boy , ##\qquad## :welcome: ##\qquad## !

Usually, at this point we ask 'what have you got so far ? ' (for the 2nd eqn, I mean)
You do have a Lagrangian already ? Or do you try a Newton approach from scratch ?

Perhaps a comparable thread (with ##l_2 = l_3##) is :

PaBlo14101066 said:
 
  • Like
Likes   Reactions: Daniel Boy and etotheipi
If you want to use the Newton formalism, there are some different approaches you can take. Maybe the easiest would be to write one ##\boldsymbol{\tau} = \dot{\boldsymbol{L}}## equation for the whole system in coordinate system with origin at the topmost hinge, and then another ##\boldsymbol{\tau}' = \dot{\boldsymbol{L}}'## equation for the lower rod only in a coordinate system with origin at the position of an ##m_1## [N.B. this latter coordinate system will be accelerating, so you need to include a further 'fictitious' force ##-m_2 \boldsymbol{a}_1## acting on ##m_2## in your analysis].

I think the algebra will be a little nasty, whichever way you go about it. Good luck!
 
  • Like
Likes   Reactions: Daniel Boy
BvU said:
Hello @Daniel Boy , ##\qquad## :welcome: ##\qquad## !

Usually, at this point we ask 'what have you got so far ? ' (for the 2nd eqn, I mean)
You do have a Lagrangian already ? Or do you try a Newton approach from scratch ?

Perhaps a comparable thread (with ##l_2 = l_3##) is :

I already have the Lagragian. I want to obtain the same equations using Newton's formalism, so I did the free body diagrams:
1.png


For m2, I found F2 (analysis in x) and I found the following equation (analysis in y):
2.png

So, using F2 in the free body diagram for m1, the resultant equation does not coincide with:
3.png
 

Similar threads

Replies
4
Views
2K
  • · Replies 19 ·
Replies
19
Views
3K
  • · Replies 1 ·
Replies
1
Views
3K
  • · Replies 1 ·
Replies
1
Views
2K
  • · Replies 11 ·
Replies
11
Views
2K
  • · Replies 3 ·
Replies
3
Views
1K
  • · Replies 14 ·
Replies
14
Views
2K
  • · Replies 62 ·
3
Replies
62
Views
6K
  • · Replies 3 ·
Replies
3
Views
6K
  • · Replies 10 ·
Replies
10
Views
3K