N events occur in one Poisson process before m events

Click For Summary

Discussion Overview

The discussion revolves around calculating probabilities related to the first arrivals of events in a Poisson process. Participants explore the probabilities of specific orderings of events, particularly focusing on the expressions for \( P(S^A_1 < S^B_1 < S^C_1) \) and \( P(S^A_2 < S^B_4 < S^C_6) \). The scope includes theoretical derivations and mathematical reasoning related to independent exponential random variables.

Discussion Character

  • Technical explanation
  • Mathematical reasoning
  • Debate/contested

Main Points Raised

  • One participant introduces parameters for the first arrivals of events A, B, and C and seeks the probability of their orderings.
  • Another participant assumes independence of the processes and discusses the derivation of \( P(S^A_1 < S^B_1) \) using integration of bivariate distributions.
  • A later reply suggests that the derivation of \( P(S^A_1 < S^B_1 < S^C_1) \) involves a triple integral of the product of three independent exponential distributions, emphasizing the need for correct limits of integration.
  • One participant proposes a formula for \( P(S^A_1 < S^B_1 < S^C_1) \) but is challenged on its dimensional correctness, leading to a discussion about the necessity of a triple integral.
  • Another participant expresses confusion regarding the integration limits and seeks clarification on the correct approach to derive the probability.
  • Some participants suggest that integration may not be necessary and propose using the memoryless property of Poisson processes instead.
  • One participant expresses a desire for a detailed derivation to understand the structure of these probabilities better.

Areas of Agreement / Disagreement

Participants do not reach a consensus on the correct method for deriving the probabilities. Some advocate for integration while others suggest leveraging the memoryless property of Poisson processes. There is ongoing debate about the validity of proposed formulas and the correct approach to the problem.

Contextual Notes

Participants mention the independence of random variables but do not explicitly state all assumptions involved in their derivations. There are unresolved questions regarding the correct limits for integration in the context of the triple integral.

mertcan
Messages
343
Reaction score
6
guys, I have a very ımportant question. First let me introduce parameters: $$S^A_1 = \text{first arrival of A event}, and S^B_1= \text{first arrival of B event}, and S^C_1=\text{ first arrival of C event}$$, then probability of $$P(S^A_1<S^B_1) = \frac {\lambda_A} {\{ \lambda_A + \lambda_B \} }$$, and I know how to derive this, also I know how to derive $$P(S^A_2<S^B_5)$$ BUT what is the probability of $$ P(S^A_1<S^B_1<S^C_1)$$ ? AND ALSO what is the probability of $$P(S^A_2<S^B_4<S^C_6)$$ ? ıf you know could you show me the derivation of that probabilities?
I really endeavour to dig lots of things related to this situation out of internet, but I have not found worthy...
thanks in advance...
 
Last edited:
Physics news on Phys.org
You have not stated, but I assume it to be implied, that the processes for A, B and C are independent.

How did you derive ##P(S_1^A<S_1^B)##? The way I know involves integration of a bivariate distribution over a region of the number plane, where the pdf of the distribution is the product of the pdfs of two exponential distributions, as arrival times for a Poisson process have an exponential distribution.

Given that, the derivation of ##P(S_1^A<S_1^B<S_1^C)## will involve a triple integral of a pdf that is the product of three independent exponential distributions. The main challenge will be to set the correct upper and lower limits for each integral. But that should not be hard.
 
andrewkirk said:
You have not stated, but I assume it to be implied, that the processes for A, B and C are independent.

How did you derive ##P(S_1^A<S_1^B)##? The way I know involves integration of a bivariate distribution over a region of the number plane, where the pdf of the distribution is the product of the pdfs of two exponential distributions, as arrival times for a Poisson process have an exponential distribution.

Given that, the derivation of ##P(S_1^A<S_1^B<S_1^C)## will involve a triple integral of a pdf that is the product of three independent exponential distributions. The main challenge will be to set the correct upper and lower limits for each integral. But that should not be hard.
Initially, sorry for not saying these are independent random exponential variables. By the way I have found a answer but I do not know if it is true becasue no source exist pertain to this kind of topic.
My answer is $$ \frac {\lambda_A*\lambda_B} { \{ \lambda_A + \lambda_B+\lambda_C \} }$$.
If it is not right could you show me the steps which lead to right answer ?
 
No it's not correct. You can see that by dimensional analysis. The units of each ##\lambda## are events per second. A probability needs to be unitless. Your formula in the OP is unitless as it has units of (events per sec) / (events per sec). But your formula in post 3 has units of
(events per sec) * (events per sec) / (events per sec) = (events per sec), which is not unitless.

As I said in post two, you need to do a triple integral. Start by posting the double integral you used to get the formula in the OP, and see if you can work out how to adapt it to the probability involving three random variables. If you can't work out how to adapt it, hints should be available.
 
mertcan said:
guys, I have a very ımportant question. First let me introduce parameters: $$S^A_1 = \text{first arrival of A event}, and S^B_1= \text{first arrival of B event}, and S^C_1=\text{ first arrival of C event}$$, then probability of $$P(S^A_1<S^B_1) = \frac {\lambda_A} {\{ \lambda_A + \lambda_B \} }$$, and I know how to derive this, also I know how to derive $$P(S^A_2<S^B_5)$$ BUT what is the probability of $$ P(S^A_1<S^B_1<S^C_1)$$ ? AND ALSO what is the probability of $$P(S^A_2<S^B_4<S^C_6)$$ ? ıf you know could you show me the derivation of that probabilities?
I really endeavour to dig lots of things related to this situation out of internet, but I have not found worthy...
thanks in advance...
andrewkirk said:
No it's not correct. You can see that by dimensional analysis. The units of each ##\lambda## are events per second. A probability needs to be unitless. Your formula in the OP is unitless as it has units of (events per sec) / (events per sec). But your formula in post 3 has units of
(events per sec) * (events per sec) / (events per sec) = (events per sec), which is not unitless.

As I said in post two, you need to do a triple integral. Start by posting the double integral you used to get the formula in the OP, and see if you can work out how to adapt it to the probability involving three random variables. If you can't work out how to adapt it, hints should be available.
Andrew thanks for your return, but I would like to express that I have so many exams next week and I really got stuck in this question, I can not focus on other exam topics, also I tried to do the same thing I had done for 2 random variables, but obtained false answer as you see. Therefore, would you mind proving this probability result ? or if it is available you can upload some pdf files related to this derivation...
 
  • Like
Likes   Reactions: haruspex
Hi, you say that I have a wrong result , and I would like to share my work for the derivation of $$ P(S^A_1<S^B_1<S^C_1)$$ And I really ask you to show me the true solution or true derivation of this probability, and show me where I have a mistake in my work in attachment thus I will be so glad to take your help
 

Attachments

The proof proceeds in the wrong way. You need to start with the probability density ##f_{\langle S_A^1,S_B^1,S_C^1\rangle}## of the multivariate random variable ##\langle S_A^1,S_B^1,S_C^1\rangle## and then replace that by the individual probability density functions ##f_{S_A^1}## etc, using an assumption that the three random variables are independent - which you have not stated, by the way.

The probability you seek is

$$Prob(S_A^1<S_B^1<S_C^1)=\int_a^b\int_c^d\int_e^f f_{\langle S_A^1,S_B^1,S_C^1\rangle}(x,y,z) dz\,dy\,dx$$

where the integration limits ##a,b,c,d,e,f## are chosen so that the volume of integration is exactly that part of ##\mathbb R^3## for which ##x<y<z##. Note that, in this integration, the integration variables ##x,y,z## correspond to the realized values of random variables ##S_A^1,S_B^1,S_C^1## respectively.

What do the values of ##a,b,c,d,e,f## need to be, to get the correct region of integration?
 
In my opinion a=0,b remains same but c= b, d=e and f= infinite, or may be a=0, b= infinite, c=b, d=infinite, e=d, f=infinite, ublackff actually I really confused... I think I need more mathematical demonstration about this probability. Could you please do this? I really get crazy by the way ...:headbang:, I can not believe myself that I can not solve this probability but can solve $$P(S^1_A<S^1_B)$$ Actually would you mind providing me with total derivation of this probability $$P(S^1_A<S^1_B<S^1_C)$$ ? I think ıf I see the steps I can totally comprehend the structure of these kind of probabilities...
 
Last edited:
I don't think any integration is necessary. Just use the fact that Poisson processes have no memory.
What is the probability that the first event is an A? With that event out of the way, what is the probability that the next is a B?
 
  • #10
haruspex said:
I don't think any integration is necessary. Just use the fact that Poisson processes have no memory.
What is the probability that the first event is an A? With that event out of the way, what is the probability that the next is a B?
@haruspex @andrewkirk Actually this method also in my mind, but you know that memoryless is proved using condition. I do not want to be intuitive for the result(when I have intuition I can satisfy myself easily but can not write what kind of intuition I have down on paper :| ), I want to see how it is derived, but when I tried to use some condition in probabilites that I asked I can not attain proper result. In short, I cannot solving it using condition as we use in memoryless property. So, I need and really asking you to solve the probability I asked. I am sure your time is valuable, but I will be so glad and appreciate if you can spare your time...
 
  • #11
mertcan said:
memoryless is proved using condition.
I regard that as backwards. The supposition that a process is memoryless is the very basis for determining that it is a Poisson process. It is a perfectly rigorous approach to the problem.
 
  • #12
upload_2016-10-22_0-32-17.png
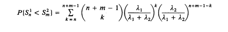
Hi again :D here, I would like to express $$S^1_n = \text{n^th arrival of event 1}, S^2_m= \text{m^th arrival of event 2}$$ and I really want to know is there a derivation of this equation? How do we attain such a result?
 

Attachments

  • upload_2016-10-22_0-29-57.png
    upload_2016-10-22_0-29-57.png
    2.3 KB · Views: 475

Similar threads

  • · Replies 12 ·
Replies
12
Views
5K
Replies
8
Views
3K
  • · Replies 1 ·
Replies
1
Views
2K
  • · Replies 1 ·
Replies
1
Views
2K
  • · Replies 4 ·
Replies
4
Views
2K
  • · Replies 1 ·
Replies
1
Views
3K
  • · Replies 11 ·
Replies
11
Views
2K
  • · Replies 4 ·
Replies
4
Views
3K
  • · Replies 29 ·
Replies
29
Views
7K
  • · Replies 1 ·
Replies
1
Views
3K