Need help with a simplification question

  • Thread starter Thread starter i-love-physics
  • Start date Start date
Click For Summary
SUMMARY

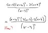
The discussion centers on simplifying the expression involving the factorization of (x + 4)² in the equation \(\frac{3(x - 3)(x + 4)² - 2(x + 4)³}{(x - 3)³}\). The user initially struggled with understanding how (x + 4)³ was simplified and ultimately learned that factoring out (x + 4)² was the key step. The solution provided by user vietdao clarified the process, emphasizing the application of the distributive property, specifically the identity ab + ac = a(b + c).

PREREQUISITES
  • Understanding of polynomial expressions and their simplifications
  • Familiarity with the distributive property in algebra
  • Knowledge of factoring techniques for quadratic expressions
  • Basic skills in manipulating rational expressions
NEXT STEPS
  • Study polynomial factorization techniques, focusing on quadratic expressions
  • Learn about the distributive property and its applications in algebra
  • Explore rational expressions and methods for simplifying them
  • Review algebraic identities and their use in simplifying complex expressions
USEFUL FOR

Students studying algebra, particularly those struggling with polynomial simplification and factorization techniques. This discussion is also beneficial for educators seeking to clarify common student misconceptions in algebraic expressions.

i-love-physics
Messages
31
Reaction score
0

Homework Statement



*refer to attached drawing*


Homework Equations



*refer to attached drawing*

The Attempt at a Solution



Basically i don't understand how (x+4) exponent of 3 disappeared in the simplfication.

My attempts at solution were trying to expand the brackets and seeing if i could figure it out that way but i still couldn't.


Could someone please look at the attached picture and explain to me how that simplication occurred. Or if you can not do that could you please tell me which chapters of my book i must read in order to understand it (my book covers all chapters of mathematics, so just tell me the relevant mathemathic topics please)

Greatly appreciated if someone could help us out.
 

Attachments

  • how.JPG
    how.JPG
    25.1 KB · Views: 445
Physics news on Phys.org
They factor (x + 4)2 out. Have you covered this:
ab + ac = a(b + c)?
If so, it goes like this:
[tex]\frac{3(x - 3) (x + 4) ^ 2 - 2 (x + 4) ^ 3}{(x - 3) ^ 3}[/tex]
[tex]= \frac{3(x - 3) (x + 4) ^ 2 - 2 (x + 4) ^ 2 (x + 4)}{(x - 3) ^ 3}[/tex]
Now, we pull out the factor (x + 4)2, and arrive at:
[tex]= \frac{(x + 4) ^ 2 \left[ 3(x - 3) - 2 (x + 4) \right]}{(x - 3) ^ 3}[/tex]
Can you get it? :)
 
thanks

thank you so much vietdao
I can't believe the answer was so simple yet i was unable to see it
You have cleared up my brain vietdao
I have never factored numbers inside brackets before that's probably what my problem was.

Anyway, thanks mate!.
 

Similar threads

  • · Replies 16 ·
Replies
16
Views
3K
  • · Replies 4 ·
Replies
4
Views
2K
  • · Replies 8 ·
Replies
8
Views
3K
  • · Replies 35 ·
2
Replies
35
Views
4K
Replies
8
Views
2K
Replies
13
Views
2K
Replies
4
Views
2K
Replies
7
Views
2K
  • · Replies 6 ·
Replies
6
Views
2K
Replies
2
Views
2K