Normalized Autocorrelation of two signals

Click For Summary

Discussion Overview

The discussion revolves around the concept of normalized autocorrelation of two signals, focusing on the mathematical formulation and understanding of the autocorrelation function. Participants are exploring the definition and calculation of normalized autocorrelation in the context of their homework problems.

Discussion Character

  • Homework-related
  • Exploratory
  • Technical explanation

Main Points Raised

  • Some participants inquire about the normalized autocorrelation of their derived autocorrelation functions, seeking clarity on the concept.
  • One participant expresses uncertainty about the correctness of their approach and asks for validation of their work.
  • Another participant questions how to form an autocorrelation between different functions and requests detailed explanations.
  • A participant suggests that the signal may consist of two sinusoidal components, potentially influencing the autocorrelation analysis.
  • One participant references a Wikipedia article on autocorrelation and notes that for normalization, the value at zero lag should equal one, indicating a scaling factor for the function.

Areas of Agreement / Disagreement

Participants do not appear to reach a consensus on the method for calculating normalized autocorrelation, and multiple viewpoints and uncertainties remain regarding the formulation and application of the concept.

Contextual Notes

Some participants' statements indicate a lack of clarity on the assumptions and definitions related to autocorrelation, particularly when dealing with different functions. There are also unresolved mathematical steps in their discussions.

baby_1
Messages
159
Reaction score
16

Homework Statement


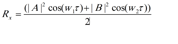
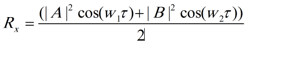
I obtain Autocorrelation function of two signal:
VRsnk.png

as
G4GHV.png

Homework Equations


[/B]

The Attempt at a Solution


[/B]
I want to know what is Normalized Autocorrelation of above equation?

Thanks
 
Physics news on Phys.org
baby_1 said:

Homework Statement


I obtain Autocorrelation function of two signal:
VRsnk.png

as
G4GHV.png

Homework Equations


[/B]

The Attempt at a Solution


[/B]
I want to know what is Normalized Autocorrelation of above equation?

Thanks
What have you tried so far?
 
Thanks for your response
I don't know I did right or it should be something else
6637266300_1470977277.png

or
3369574900_1470977277.png

or
...?
 
baby_1 said:
Thanks for your response
I don't know I did right or it should be something else
6637266300_1470977277.png

or
3369574900_1470977277.png

or
...?
Sorry if this is a dumb question, but how can you form an autocorrelation between different functions? Can you show your detailed work?
 
Probably a signal comprised of 2 sinusoidal components.
 
Thanks for your response
I used https://en.wikipedia.org/wiki/Autocorrelation on a period of (2pi)
I found out my answer. when we want to normalized our autocorrelation function we should pay attention to Rx(at t=0)=1 to scale the function.
 

Similar threads

  • · Replies 1 ·
Replies
1
Views
2K
  • · Replies 7 ·
Replies
7
Views
2K
  • · Replies 1 ·
Replies
1
Views
3K
  • · Replies 6 ·
Replies
6
Views
4K
Replies
2
Views
2K
Replies
1
Views
2K
  • · Replies 2 ·
Replies
2
Views
10K
  • · Replies 5 ·
Replies
5
Views
2K
Replies
5
Views
2K
  • · Replies 1 ·
Replies
1
Views
1K