Nuclear Reactor Analysis Problem 5.34

Click For Summary

Homework Help Overview

The discussion revolves around a nuclear reactor analysis problem, specifically focusing on the concept of geometric and material buckling in relation to boundary conditions.

Discussion Character

  • Exploratory, Assumption checking

Approaches and Questions Raised

  • The original poster attempts to clarify how to set up boundary conditions, referencing the relationship between geometric and material buckling. Some participants emphasize the importance of showing work to facilitate assistance.

Discussion Status

The discussion is ongoing, with participants providing reminders about the necessity of showing work. The original poster has shared relevant equations and is seeking further guidance on boundary conditions.

Contextual Notes

There is an indication that specific boundary conditions are crucial for the problem, but details on these conditions are not fully explored in the discussion.

Tanman77
Messages
3
Reaction score
1
Homework Statement
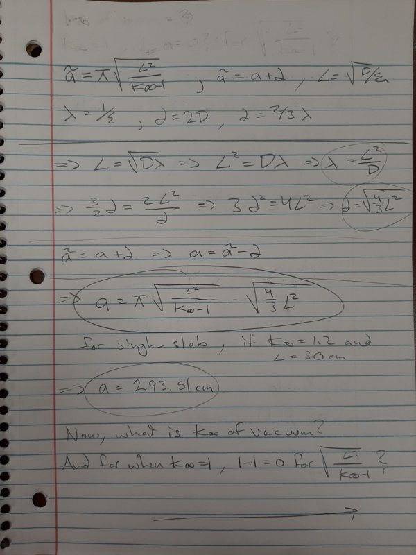
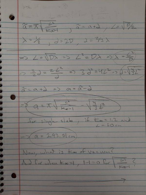
Here is problem 5.34 from Nuclear Reactor Analysis: Two infinite slabs, each of thickness a in the x direction, are separated by an inner region of thickness 2a and are bounded by vacuum on their outer surfaces. The slab material is of composition to give k∞=1.2 and thermal diffusion length of 50cm. Determine the thickness a for criticality when: (a) inner region is vacuum and (b) inner region is a medium with k∞=1 and same D and L as the outer slabs.
Relevant Equations
See attached photo.
I'm aware that geometric buckling is equal to material buckling when k =1, any pointers on how to set up the boundary conditions for this problem?
 

Attachments

  • 20200228_191742.jpg
    20200228_191742.jpg
    41.4 KB · Views: 285
Physics news on Phys.org
Show your work otherwise no one will help you!
 
Abhishek11235 said:
Show your work otherwise no one will help you!
I gave some relevant equations in the attached picture, I am merely asking how i should set up boundary conditions for this problem.
 
Here is further progress:
 

Attachments

  • 20200302_110527.jpg
    20200302_110527.jpg
    52 KB · Views: 253
  • 20200302_110534.jpg
    20200302_110534.jpg
    44.9 KB · Views: 298

Similar threads

  • · Replies 0 ·
Replies
0
Views
2K
  • · Replies 19 ·
Replies
19
Views
4K
  • · Replies 1 ·
Replies
1
Views
1K
  • · Replies 0 ·
Replies
0
Views
2K
Replies
45
Views
8K
Replies
10
Views
4K
  • Poll Poll
  • · Replies 12 ·
Replies
12
Views
3K
  • · Replies 9 ·
Replies
9
Views
3K
Replies
7
Views
3K
  • · Replies 6 ·
Replies
6
Views
3K