Oil enters a flexible bend in a pipe -- calculate the force needed to hold the bend in place

Click For Summary

Homework Help Overview

The problem involves calculating the force required to hold a bend in a pipe through which oil flows. The context includes the application of fluid dynamics principles, specifically Bernoulli's theorem and the equation of continuity, as the oil enters a bend in a horizontal pipe.

Discussion Character

  • Exploratory, Conceptual clarification, Assumption checking

Approaches and Questions Raised

  • Participants discuss the use of Bernoulli's theorem and the equation of continuity to find velocities and pressures at different points in the pipe. There are attempts to calculate forces based on pressure areas, and some participants suggest considering momentum changes as part of the force calculations.

Discussion Status

The discussion is ongoing, with various approaches being explored. Some participants have provided calculations for reaction forces due to oil pressure, while others are questioning the assumptions made regarding the direction of forces and the role of momentum in the analysis. There is no explicit consensus yet, but productive dialogue is occurring around the concepts involved.

Contextual Notes

Participants are working under the constraints of a homework assignment, which may limit the information available for solving the problem. There are discussions about the implications of pressure direction and the need to account for momentum changes in the fluid flow.

Aurelius120
Messages
273
Reaction score
24
Homework Statement
Oil enters the bend of a pipe in the horizontal plane with velocity ##4 ms–1## and pressure ##280 \times 10^3 {Nm}^{-2} ## as shown in figure. (Take specific gravity of oil as 0.9 and ##\sin 37^{\circ}=0.6 )##
Relevant Equations
$$P_1+\frac{\rho v_1^2}{2}+\rho gh_1=P_2+\frac{\rho v_2^2}{2}+\rho gh_2$$
$$A_1v_1=A_2v_2$$
Screenshot (4).png

The pressure is easily calculated from equation of continuity and Bernoullis theorem:
$$A_1v_1=A_2v_2\implies v_2=16ms^{-1}$$
SInce pipe is in horizontal plane, no difference in pressure because of height
$$P_1+\frac{\rho v_1^2}{2}=P_2+\frac{\rho v_2^2}{2}$$
$$P_2=172\times 10^3$$

What I cannot find is the force needed to hold the bend in place?

I tried simply adding ##P_1A_1## and ##P_2A_2##. Added just magnitudes and then added them like vectors , neither worked.
Searching a little on the internet, it said that momentum could be used. And I still can't do it
 
  • Like
Likes   Reactions: DeBangis21
Physics news on Phys.org
Aurelius120 said:
Homework Statement: Oil enters the bend of a pipe in the horizontal plane with velocity ##4 ms–1## and pressure ##280 \times 10^3 {Nm}^{-2} ## as shown in figure. (Take specific gravity of oil as 0.9 and ##\sin 37^{\circ}=0.6 )##
Relevant Equations: $$P_1+\frac{\rho v_1^2}{2}+\rho gh_1=P_2+\frac{\rho v_2^2}{2}+\rho gh_2$$
$$A_1v_1=A_2v_2$$

View attachment 345924
The pressure is easily calculated from equation of continuity and Bernoullis theorem:
$$A_1v_1=A_2v_2\implies v_2=16ms^{-1}$$
SInce pipe is in horizontal plane, no difference in pressure because of height
$$P_1+\frac{\rho v_1^2}{2}=P_2+\frac{\rho v_2^2}{2}$$
$$P_2=172\times 10^3$$

What I cannot find is the force needed to hold the bend in place?

I tried simply adding ##P_1A_1## and ##P_2A_2##. Added just magnitudes and then added them like vectors , neither worked.
Searching a little on the internet, it said that momentum could be used. And I still can't do it
Consider the two forces, as vectors, that act on the bend from the pressures at each side of the bend.
 
Reaction forces due to oil pressure:
$$\vec F_1=P_1A_1 \hat i=-56\times 10^3\hat i$$
$$\vec F_2=P_2A_2=(8.6\times 10^3) \cos37\hat i-(8.6\times 10^3)\sin 37\hat j$$
Net force on pipe =Sum of Reaction force due to oil pressure= $$|\vec F_1+\vec F_2|=\sqrt{(56000-860\times 8)^2+(860\times 6)^2}\neq\text{ given answer}$$
haruspex said:
Consider the two forces, as vectors, that act on the bend from the pressures at each side of the bend.
 
Aurelius120 said:
Reaction forces due to oil pressure:
$$\vec F_1=P_1A_1 \hat i=-56\times 10^3\hat i$$
$$\vec F_2=P_2A_2=(8.6\times 10^3) \cos37\hat i-(8.6\times 10^3)\sin 37\hat j$$
Net force on pipe =Sum of Reaction force due to oil pressure= $$|\vec F_1+\vec F_2|=\sqrt{(56000-860\times 8)^2+(860\times 6)^2}\neq\text{ given answer}$$
How did you arrive at those signs for the ##\hat i## components?
 
haruspex said:
How did you arrive at those signs for the ##\hat i## components?
The fluid flows horizontally in ##+\hat i## upto bend so force on it must be in direction of its velocity to make it flow and its reaction force on pipe must be in ##-\hat i##
After the bend the fluid flows in ##-cos37\hat i+sin37\hat j## and reaction force will be in opposite direction
 
Aurelius120 said:
The fluid flows horizontally in ##+\hat i## upto bend so force on it must be in direction of its velocity to make it flow and its reaction force on pipe must be in ##-\hat i##
After the bend the fluid flows in ##-cos37\hat i+sin37\hat j## and reaction force will be in opposite direction
Pressure does not have a direction. What is the direction of the force that pressure exerts over the area at the aperture of the bend?
 
Last edited:
haruspex said:
Pressure does not have a direction. What is the direction of the force that pressure exerts over the area at the aperture of the bend?
##P_2A_2 cos37##? Since force perpendicular to area is taken?
 
Aurelius120 said:
##P_2A_2 cos37##? Since force perpendicular to area is taken?
The force exerted by a pressure p on an area element ##\vec dA## is ##p\vec dA##. The direction of those two vectors is normal to the area element. The apertures of the elbow are cross sections of the pipe, so you have two forces at angle of 37°.
Those forces would exist merely from having that as static pressure in the pipe. In addition, the water flow is changing direction. That momentum change requires a force too.
 
Aurelius120 said:
Searching a little on the internet, it said that momentum could be used. And I still can't do it
Can you show us your calculations regarding change in momentum?
Generally, the resulting force due to changes of direction of the mass flow velocity is greater in magnitude than the force created by internal pressure.
As correctly explained above, both types of forces need to be added up for calculating the actual reactive force.
 
  • #10
Screenshot (8).png

Sorry for the delay. Had some tests so forgot about the doubts.
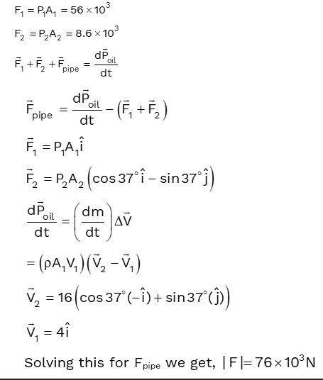
Tis the soution given. I dont understand why pressure at bend is not ##F_{pipe}\neq F_1+F_2##? Why is there a change of oil momentum?
 
  • #11
Aurelius120 said:
View attachment 346826
Sorry for the delay. Had some tests so forgot about the doubts.
Tis the soution given. I dont understand why pressure at bend is not ##F_{pipe}\neq F_1+F_2##? Why is there a change of oil momentum?
Applying Reynolds Transport Theorem with the fluid system momentum as the extensive property we get the"Momentum Equation"

$$ \sum \mathbf{F} = \frac{d}{dt} \int_{cv} \mathbf{v} \rho ~d V\llap{-} + \int_{cs} \mathbf{v} \rho \mathbf{V} \cdot d \mathbf{A} \tag{1} $$

The pressure distribution integrated over each cross section of the flow are forces, and there is a restraint force required so that the control volume is stationary. With assumed uniform pressure/velocity distributions over each area apply (1) for each component direction.
 
Last edited:
  • #12
Aurelius120 said:
View attachment 346826
Sorry for the delay. Had some tests so forgot about the doubts.
Tis the soution given. I dont understand why pressure at bend is not ##F_{pipe}\neq F_1+F_2##? Why is there a change of oil momentum?
Consider the oil passing through the bend in time dt.
It has mass ##dm=\rho A_1v_1dt## and undergoes a change in velocity from ##v_1\hat i## to ##v_2(-\cos(\theta)\hat i+\sin(\theta)\hat j)##. Call that change ##\vec{\Delta v}##. That implies a momentum change ##\vec{\Delta v} dm##. The net force on it is therefore ##\vec F_{net}=\vec{\Delta v}\dot m=\rho A_1v_1\vec{\Delta v}##.
Three forces act on it to provide this net force:
  • the force due to the pressure at P acting on the area element ##A_1\hat i## : ##\vec F_P=P_1A_1\hat i##
  • the force due to the pressure at Q acting on the area element ##A_2(\cos(\theta)\hat i-\sin(\theta)\hat j)##: ##\vec F_Q=P_2A_2(\cos(\theta)\hat i-\sin(\theta)\hat j)##
  • the force from the pipe wall: ##\vec F_{pipe}##.
##\vec F_{net}=\vec F_P+\vec F_Q+\vec F_{pipe}##.
 
  • Love
  • Like
Likes   Reactions: Aurelius120 and erobz
  • #13
haruspex said:
Consider the oil passing through the bend in time dt.
It has mass ##dm=\rho A_1v_1dt## and undergoes a change in velocity from ##v_1\hat i## to ##v_2(-\cos(\theta)\hat i+\sin(\theta)\hat j)##. Call that change ##\vec{\Delta v}##. That implies a momentum change ##\vec{\Delta v} dm##. The net force on it is therefore ##\vec F_{net}=\vec{\Delta v}\dot m=\rho A_1v_1\vec{\Delta v}##.
Three forces act on it to provide this net force:
  • the force due to the pressure at P acting on the area element ##A_1\hat i## : ##\vec F_P=P_1A_1\hat i##
  • the force due to the pressure at Q acting on the area element ##A_2(\cos(\theta)\hat i-\sin(\theta)\hat j)##: ##\vec F_Q=P_2A_2(\cos(\theta)\hat i-\sin(\theta)\hat j)##
  • the force from the pipe wall: ##\vec F_{pipe}##.
##\vec F_{net}=\vec F_P+\vec F_Q+\vec F_{pipe}##.
Idk why I thought, the pressure at ##A_1## and ##A_2## was going to be exerted on pipe and not liquid. Therefore confused ##F_{pipe}=F_1+F_2##
 

Similar threads

  • · Replies 1 ·
Replies
1
Views
1K
Replies
6
Views
2K
Replies
2
Views
2K
  • · Replies 4 ·
Replies
4
Views
5K
Replies
3
Views
3K
Replies
1
Views
3K
Replies
0
Views
3K
  • · Replies 2 ·
Replies
2
Views
11K
  • · Replies 4 ·
Replies
4
Views
2K
  • · Replies 10 ·
Replies
10
Views
6K