Optical Bistability and the Jaynes-Cummings Model

Click For Summary

Discussion Overview

The discussion revolves around optical bistability within the context of the Jaynes-Cummings Model, particularly focusing on the conditions under which bistability arises and the role of non-linear dynamics in the system. Participants explore theoretical aspects, mathematical formulations, and implications of external interactions on bistability.

Discussion Character

  • Exploratory
  • Technical explanation
  • Debate/contested
  • Mathematical reasoning

Main Points Raised

  • Some participants note that optical bistability occurs in a specific parameter regime defined by a bimodal leaf and originates from highly non-linear dynamics of the system.
  • There is a request for references that define the system and state the relevant equations, indicating a desire for clarity on the foundational aspects of the discussion.
  • One participant cites a paper that describes bistability as a benchmark of nonlinear light-matter interaction, emphasizing the role of fluctuations and dissipative processes.
  • Another participant identifies the nonlinearity in the Hamiltonian term containing the factor g, suggesting that for g=0, the system simplifies into a harmonic oscillator and a two-level system.
  • It is mentioned that while the Hamiltonian can be diagonalized in the absence of environmental interaction, energy dissipation complicates the dynamics and affects bistability.
  • Some participants discuss the implications of adding a coherent drive to the Jaynes-Cummings Hamiltonian, noting that this can lead to complex dynamics and the necessity of using a more comprehensive model beyond the rotating wave approximation (RWA).
  • There is a debate about whether the interaction with the environment is a cause of bistability, with some arguing that a large value of g is crucial, while others assert that bistability exists independently of the environment but is activated by it.
  • One participant questions the nonlinearity of the interaction term, prompting further exploration of what constitutes nonlinearity in this context.
  • Another participant suggests that any interaction may reveal bistability due to the inherent nonlinearity of the isolated system.

Areas of Agreement / Disagreement

The discussion remains unresolved with multiple competing views on the nature of bistability, the role of nonlinearity, and the influence of environmental interactions. Participants express differing opinions on the foundational aspects and implications of the Jaynes-Cummings Model in relation to bistability.

Contextual Notes

Participants highlight limitations related to the assumptions of the Jaynes-Cummings Hamiltonian, particularly regarding its validity under strong driving conditions and the potential for numerical artifacts in simulations.

Raptor112
Messages
46
Reaction score
0
I understand that otical bistability only occurs in a specific parameter regime defined by the bimodial leaf, but I have read that bistability originates from highly non linear dynamics of the system. As we are dealing with a qubit in a cavity that is being driven so things become non-trivial, the system is described by the Jaynes-Cummings Model with an additional drive term, so what terms in the equations or what in particular is non-linear that gives bistabilty?
 
Physics news on Phys.org
Raptor112 said:
the system is described by the Jaynes-Cummings Model with an additional drive term, so what terms in the equations or what in particular is non-linear that gives bistabilty?
Please give a reference where ''the system'' is defined and the equations are stated.
 
A. Neumaier said:
Please give a reference where ''the system'' is defined and the equations are stated.
In the pape: Bistability effect in the extreme strong coupling regime of the Jaynes-Cummings model by A Dombi et.al
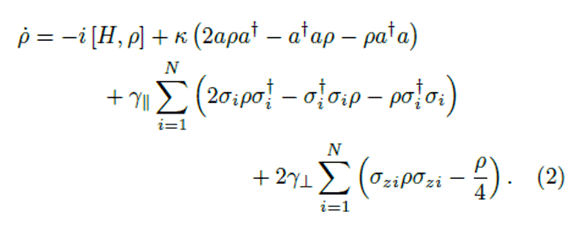
"Optical bistability is a benchmark of nonlinear lightmatter
interaction...Fluctuations are due to the dissipative processes, whereas the switching(Bistability) originates from a highly nonlinear dynamics." From the same paper, "the system :
upload_2016-3-14_11-19-41.png


and the master equation:

upload_2016-3-14_11-21-3.png
 
Raptor112 said:
what terms in the equations or what in particular is non-linear that gives bistabilty?
The nonlinearity is in the term of H containing the factor g. For g=0, the system is decomposes into a harmonic oscillator and a 2-level system, which are both exactly solvable. The interaction creates the bistability.
 
  • Like
Likes   Reactions: Raptor112
A. Neumaier said:
The nonlinearity is in the term of H containing the factor g. For g=0, the system is decomposes into a harmonic oscillator and a 2-level system, which are both exactly solvable. The interaction creates the bistability.

But with the interaction term it is still possible to diagonalise the Hamiltonian:

##H =\omega_c\bigg(\hat{a}^\dagger\hat{a} +\frac{1}{2}\bigg) + \frac{\omega_q}{2}\hat{\sigma}_z + g_{c}(\hat{a}\hat{\sigma}_+ + \hat{a}^\dagger\hat{\sigma}_-)##

has energy eigen values:

##E_{|n, \pm\rangle} = \omega_q\bigg(n+\frac{1}{2}\bigg) \pm\frac{\sqrt{\Delta^2 + 4g^2(n+1)}}{2}##
 
Raptor112 said:
But with the interaction term it is still possible to diagonalise the Hamiltonian:
But only in the absence of interaction with the environment, which causes energy dissipation and hence activates the bistability under appropriate conditions. The resulting Lindblad equation (2) can no longer be diagonalized. The mean equation (4) becomes linear only if g=0 and inherits from the nonlinear Hamiltonian the nonlinear term ##S^*\alpha+\alpha^*S##.
 
Note that they are talking about a driven system, the J-C Hamiltonian can give rise to very complicated dynamics once you add e.g. a coherent drive (Mollow triplets etc). This in combination with decoherence means that the behavior is far from non-trivial even if you are only using a "simple" Lindbladian to model the system. .

Note also that the J-C Hamiltonian is only valid in the RWA; if you are driving the system hard enough you need to use the full spin-boson model which is difficult to solve even with numerical methods.
 
A. Neumaier said:
with the environment, which causes energy dissipation and hence activates the bistability under appropriate conditions.
So interaction with the outside environment causes the bistability?
 
Raptor112 said:
So interaction with the outside environment causes the bistability?

Not sure there is a single "cause" here. I would say it is the very large value of g that is the "cause", with the understanding that the effects would only appear if you are driving the system hard enough and there is the right amount of dissipation.

But again, be very careful when working with the J-C Hamiltonian in this regime, you can easily go outside the regime where it is valid and if you solving it numerically you can easily get numerical artifacts if you space is not large enough
 
  • #10
Bistability is present independent of the environment but becomes alive through the latter. This also holds classically: A classical particle in a double-well potential is a bistable system, but the effect of it is seen only if you add an external interaction.
 
  • #11
A. Neumaier said:
Bistability is present independent of the environment but becomes alive through the latter. This also holds classically: A classical particle in a double-well potential is a bistable system, but the effect of it is seen only if you add an external interaction.
But I don't actually see what's non linear about the interaction term?
 
  • #12
Any interaction may reveal the bistability due to an appropriate nonlinearity of the isolated system.
 

Similar threads

  • · Replies 2 ·
Replies
2
Views
3K
  • · Replies 1 ·
Replies
1
Views
2K
  • · Replies 16 ·
Replies
16
Views
4K
  • · Replies 1 ·
Replies
1
Views
2K
  • · Replies 5 ·
Replies
5
Views
697
  • · Replies 6 ·
Replies
6
Views
4K
  • · Replies 45 ·
2
Replies
45
Views
13K
  • · Replies 212 ·
8
Replies
212
Views
29K
  • · Replies 1 ·
Replies
1
Views
3K
  • · Replies 62 ·
3
Replies
62
Views
11K