Physical meaning of autocorrelation

Click For Summary

Discussion Overview

The discussion revolves around the physical meaning of the autocorrelation function in the context of vibration-test data analysis. Participants explore the implications of the autocorrelation behavior observed in the data, particularly at long time delays, and its relationship to noise frequency and system determinism.

Discussion Character

  • Exploratory
  • Technical explanation
  • Conceptual clarification
  • Debate/contested

Main Points Raised

  • One participant notes that the autocorrelation function indicates how well future values can be predicted from past values, with a quick decay suggesting randomness and a slow decay indicating more predictable behavior.
  • Another participant suggests that a lack of decay in the autocorrelation function implies significant periodic elements in the signal, as delayed signals correlate well with earlier versions of themselves.
  • A different viewpoint emphasizes that autocorrelation can be seen as a measure of system determinism, with perfectly deterministic systems showing a normalized autocorrelation of '1' and random systems resembling a delta function.
  • It is mentioned that real systems with dissipation typically exhibit a decaying exponential autocorrelation, and the width of this decay relates to the correlation time.
  • One participant raises concerns about interpreting the data without knowing specifics about the vibrating object and its excitation, suggesting that low-frequency components may be due to detector drift.

Areas of Agreement / Disagreement

Participants express differing views on the implications of the autocorrelation behavior, particularly regarding its relationship to system determinism and periodicity. There is no consensus on the interpretation of the observed data.

Contextual Notes

Participants acknowledge limitations in their analysis due to a lack of details about the data generation process, which may affect their interpretations of the autocorrelation function.

jollage
Messages
61
Reaction score
0
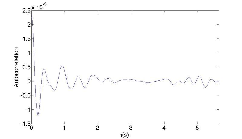
Hi All,

I was in a process of processing my vibration-test data. I now generated a plot of the autocorrelation function of the object acceleration. Please see the attachements (the second attachment is the close-up for small tau's).

The x-axis in the plot is the time delay tau. You can see from the second attachment that, at tau=0,the autocorrelation reaches its maximum.

My question is, as for the signal like this, in the long time delay (tau=60s, 70s), the autocorrelation still does not decay too much. What could this behavior imply? In terms of the noise frequency, what can we say?

Any comments will be welcome. Thanks in advance.

Mz
 

Attachments

  • autocor.jpg
    autocor.jpg
    19.8 KB · Views: 1,030
  • autocor2.jpg
    autocor2.jpg
    14.6 KB · Views: 1,091
Last edited:
Physics news on Phys.org
The autocorrelation function gives the amount of correlation of values of the original function at times delayed by ##\tau##. If the autocorrelation function vanishes quickly, it means that the value of the function at some time cannot be predicted with success from neighboring values.

If it does not vanish quickly, it means that the behavior of the function is less random; from the value at time 0 one can estimate possible values at future times with better success. For example, if the function is periodic, after one wave one can make reasonable estimate what the next values will be, and the autocorrelation function comes out also periodic. But if the function is position of Brownian particle, the next values are hard to predict successfully, and also the autocorrelation function decays very fast (exponentially).
 
If the autocorrelation does not die away then there must be some significant periodic elements in the signalbecause the delayed signal correlates well with an earlier version of itself.
 
jollage said:
Hi All,

I was in a process of processing my vibration-test data. I now generated a plot of the autocorrelation function of the object acceleration. Please see the attachements (the second attachment is the close-up for small tau's).

Any comments will be welcome. Thanks in advance.

Mz

A few comments:

I think of the autocorrelation as a measure of how deterministic the system is- a perfectly deterministic system will always have a normalized autocrrelation of '1', while a perfectly random system will have have an autocorrelation that looks like a delta function. For real systems with dissipation present, the autocorrelation function will generally follow a decaying exponential, and the width of the exponential is a measure of the (de-)correlation time (or length, if we extend the analysis to cover spatially random systems such as reflection from a rough surface). Multiple dissipation processes result in multi-exponential autocorrelation functions- the dynamic light scattering field is a good place to get familiar with interpreting autocorrelation curves.

Without knowing any details about what generated the data (what is vibrating? How was it excited?) it's tough to parse your data. However, when we see a low-frequency component like your first graph has, it's due to drift in our detector.
 

Similar threads

  • · Replies 7 ·
Replies
7
Views
2K
  • · Replies 1 ·
Replies
1
Views
3K
  • · Replies 0 ·
Replies
0
Views
3K
  • · Replies 1 ·
Replies
1
Views
2K
  • · Replies 1 ·
Replies
1
Views
2K
  • · Replies 12 ·
Replies
12
Views
2K
  • · Replies 19 ·
Replies
19
Views
5K
  • · Replies 3 ·
Replies
3
Views
7K
  • · Replies 1 ·
Replies
1
Views
3K
  • · Replies 9 ·
Replies
9
Views
1K