Please if anyone can help me to solve this differential equation.

Click For Summary

Discussion Overview

The discussion revolves around solving a specific differential equation (ODE), focusing on finding both the general solution and particular solutions. Participants explore various methods and approaches to derive these solutions, including the use of special functions and specific forms of solutions.

Discussion Character

  • Homework-related
  • Technical explanation
  • Mathematical reasoning
  • Debate/contested

Main Points Raised

  • Some participants identify the homogeneous solutions as y=x and y=x², while a third solution is suggested to be a special function, potentially related to x^x.
  • One participant proposes using the form y=x*f(x) to derive particular solutions, indicating that this leads to a more complex equation involving the exponential integral function Ei.
  • Another participant attempts to find the third solution using the assumption y=x^m but is challenged by others who argue that this method cannot yield the third solution.
  • A participant requests detailed steps for finding the particular solution, indicating a desire for clarity on the methods used.
  • One participant provides a general solution to the ODE, including arbitrary constants, but does not elaborate on the derivation process.
  • There are requests for explanations and methods from various participants, highlighting a need for guidance on the solution process.

Areas of Agreement / Disagreement

Participants generally agree on the existence of the first two homogeneous solutions but disagree on the nature and derivation of the third solution. The discussion remains unresolved regarding the methods to find particular solutions and the validity of the proposed approaches.

Contextual Notes

Some participants express uncertainty about the assumptions underlying their methods, particularly regarding the form of the third solution and the applicability of certain techniques to derive it. There are also references to specific functions and integrals that may require further clarification.

Who May Find This Useful

This discussion may be useful for students and practitioners interested in differential equations, particularly those seeking to understand various methods of finding solutions and the challenges involved in solving ODEs.

artan
Messages
7
Reaction score
0
Please if anyone can help me to solve this differential equation.
 
Physics news on Phys.org


Hello,

Two obvious solution of the homogeneous part of the equation are y=x and y=x². The third is a special function.
Nevertheless, particular solutions for the whole ODE can be derived :
Let y=x*f(x) and solve the ODE which unknown is f(x).
 


I can find that first and second obvious solution of the homogeneous part x and x^2,but how can I find the third,it is something of x^x.


Can anyone explain how to find the particular solution showing me some steps of the solution.Thank you
 


Can you write the special function and show me some steps how to find particular solution.Thank you
 


The general solution to your ODE is as follows

[itex]y(x) = -3x(x-3)\ln(x)+[(-\frac{1}{2}x^2+x)\int_{-x}^∞ \frac{\exp(-t)}{t}dt -\frac{1}{2}\exp(x)(x-1)]C_1-\frac{x^3+9}{2}+x^2C_2+xC_3[/itex]

where [itex]C_i[/itex] are arbitrary constants.
 


I started solving this DE this way:
y=x^m
y'=m*x^(m-1)
y''=m(m-1)x^(m-2)
y'''=m(m-1)(m-2)x^(m-3)

and replace them in DE we get:

(m-1)(m-2)(m*x^(m-1)-x^m)=0
so we get :
y1=x
y2=x^2
m*x^(m-1)-x^m=0 this is the third solution but i don't know how to find it
thank you.
 


artan said:
I started solving this DE this way:
y=x^m

You suppose that the third solution is on the patern y=x^m which is not the case. As a consequence this method cannot lead to the third solution.
By chance, the first and the second solution are on the patern y=x^m, so leading to m=1 and m=2. But obviously not the third.
 


MR.Kosovtsov can you write the whole method how did you get the solution,not just the final solution.
I will be grateful.
Thank you.
 
Last edited:
  • #10


which method should i use to get the solution.
Can you write for me the beginig of the method you use?
I will be grateful.
Thank you for the help.
 
Last edited:
  • #11


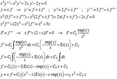
Hi !

In attachment, the solution for the homogeneous ODE.
Same method for the complete ODE.
 

Attachments

  • Homogeneous ODE.JPG
    Homogeneous ODE.JPG
    17.2 KB · Views: 590
  • #12


Thank you for the help
 

Similar threads

  • · Replies 3 ·
Replies
3
Views
2K
  • · Replies 2 ·
Replies
2
Views
4K
  • · Replies 2 ·
Replies
2
Views
2K
  • · Replies 5 ·
Replies
5
Views
4K
  • · Replies 3 ·
Replies
3
Views
3K
  • · Replies 1 ·
Replies
1
Views
2K
  • · Replies 52 ·
2
Replies
52
Views
10K
  • · Replies 5 ·
Replies
5
Views
3K
  • · Replies 2 ·
Replies
2
Views
3K
  • · Replies 4 ·
Replies
4
Views
2K