Potential at a point due to two charges

Click For Summary

Homework Help Overview

The problem involves calculating the electric potential at a point above the x-axis due to two positive charges placed on the x-axis. The original poster attempts to derive the potential and relates it to the electric field, but encounters discrepancies with the expected results from a textbook.

Discussion Character

  • Exploratory, Conceptual clarification, Assumption checking

Approaches and Questions Raised

  • Participants discuss the calculation of the potential and the relationship between potential and electric field. There are questions about the correctness of using cosine for the z-component of the potential and the implications of changing one charge to negative.

Discussion Status

Some participants have provided guidance on the nature of potential as a scalar quantity, emphasizing that it should not be added vectorially. The discussion is exploring the implications of charge polarity on potential and the behavior of electric fields.

Contextual Notes

There is mention of a textbook solution that differs from the original poster's calculations, indicating potential misunderstandings in the setup or assumptions made during the calculations. The discussion also touches on the reference point for potential and the implications of conservative fields.

6Stang7
Messages
212
Reaction score
0
I've been working on this problem and I cannot find out where I am making a mistake.

Homework Statement


Two charges, each with a value of +q, are placed a distance d apart on the x-axis. Find the potential at a point P a distance z above the x-axis on the z-axis

The Attempt at a Solution



The figure below shows the physics system:

eqoea.jpg


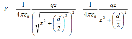
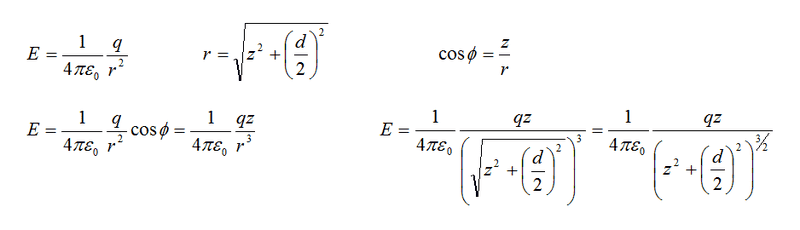
The potential due to a charge is given by:

Smthy.jpg


We can express r as:

Y8Sg8.jpg


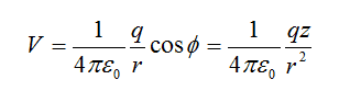
We can see by symmetry that the x-components will cancel out, so the total potential will be twice of the z-component. The z-component of the potential is the cosine of the magnitude, where cosine is:

KOcsg.jpg


This gives us:

keUqf.jpg


Putting everything together we get:

Wr8Up.jpg


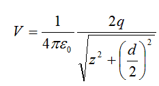
Therefore, the total potential at point P is:

o9Ha1.jpg


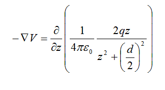
Now, we know that the potential is related to the Electric Field by:

o8TZL.jpg


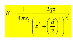
This means that the Electric Field at the same point is (I realize the forget the minus sign just now):

KvB52.jpg


Which when solved give:

Jh1ok.jpg


Now, using the same figure, but instead of solving for the potential, we solve for the Electric Field, we find:

FwTtY.png


The above uses the same line of thinking, and this gives a total value of the Electric Field to be:

LWKm6.png


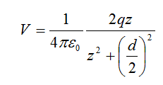
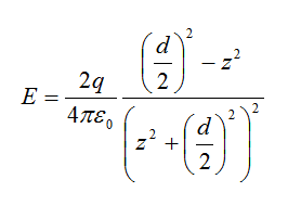
The problem is that the book says that the potential I calculated above is wrong, and that the value should be:

0yGMN.jpg


When you calculate the value of the Electric Field from this, you get the same answer as the value I just calculated.

So, what did I do wrong in my calculation of the potential? The error seems to steam from the part where I calculated the z-component of one of the charges using cosine, but I can't see why that is incorrect.
 
Physics news on Phys.org
6Stang7 said:
I've been working on this problem and I cannot find out where I am making a mistake.So, what did I do wrong in my calculation of the potential? The error seems to steam from the part where I calculated the z-component of one of the charges using cosine, but I can't see why that is incorrect.

Just remember that potential is not a vector, but is a scalar. You don't add scalars vectorially.
 
So if one of the charges was negative instead of positive, the potential would be zero?

What confuses me is that if one charge was changed to negative, then there'd be a constant potential in the x-direction, but zero in the z-direction.
 
6Stang7 said:
So if one of the charges was negative instead of positive, the potential would be zero?

Yes, on the z axis it would be.

6Stang7 said:
What confuses me is that if one charge was changed to negative, then there'd be a constant potential in the x-direction, but zero in the z-direction.
Remember, potential does not have a direction since it is a scalar and not a vector. There will be a force, or equivalently an electric field (which is force per unit charge) in the direction you say.

If potential is referenced to infinity, then the work done to bring a charge from infinity to any finite point on the z axis is clearly zero. Why, because you can chose the z axis itself as the path, and it's clear that the dot product of the electric field and the path is always zero. The x-component of electric field (and force) is orthogonal to the chosen path. The fact that electric fields are conservative tells you that any other path will yield the same value.
 

Similar threads

  • · Replies 11 ·
Replies
11
Views
2K
Replies
2
Views
792
Replies
5
Views
1K
  • · Replies 7 ·
Replies
7
Views
1K
  • · Replies 2 ·
Replies
2
Views
1K
  • · Replies 10 ·
Replies
10
Views
1K
Replies
9
Views
1K
Replies
1
Views
2K
  • · Replies 6 ·
Replies
6
Views
2K
Replies
1
Views
2K