Power being transported down the cable

  • Thread starter Thread starter Pushoam
  • Start date Start date
  • Tags Tags
    Cable Power
Click For Summary

Homework Help Overview

The discussion revolves around calculating the power transported down a coaxial cable, focusing on the relationship between electric and magnetic fields, and the application of relevant equations such as Gauss's law and Ampere's law. Participants are exploring the implications of these equations in the context of electromagnetic theory.

Discussion Character

  • Exploratory, Mathematical reasoning, Assumption checking

Approaches and Questions Raised

  • Participants are attempting to derive the expression for power transported down the cables using electromagnetic principles. Questions arise regarding the validity of their equations and the assumptions made about the regions of integration and the nature of the fields involved.

Discussion Status

There is an ongoing exploration of the mathematical relationships and physical interpretations of the equations presented. Some participants are questioning the necessity of integrating over specific areas and the implications of the Poynting theorem in this context. Guidance has been offered regarding the integration process and the relevance of the cross-sectional area of the cable.

Contextual Notes

Participants are working under the constraints of a homework problem that requires them to calculate power in a specific setup involving coaxial cables, with a focus on the potential difference and current flow. There are discussions about the assumptions regarding charge distribution and the regions of interest in the integration process.

Pushoam
Messages
961
Reaction score
53
Homework Statement
Problem 8.1 Calculate the power (energy per unit time) transported down the cables of Ex. 7.13 and Prob. 7.62, assuming the two conductors are held at potential difference V, and carry current I (down one and back up the other).

Example 7.13. A long coaxial cable carries current I (the current flows down the
surface of the inner cylinder, radius a, and back along the outer cylinder, radius
b) as shown in Fig. 7.40. Find the magnetic energy stored in a section of length l.
Relevant Equations
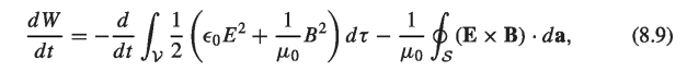
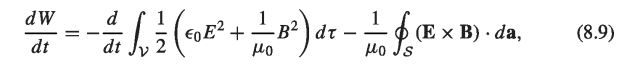
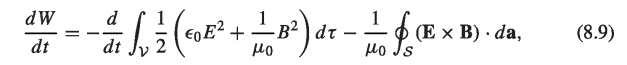
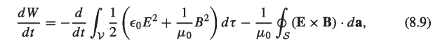
## \frac {dW}{ dt} = - \frac d {dt} \int_{\upsilon}~~ \frac 1 2~ \left( \epsilon_{\omicron} E^2 + \frac {B^2} \mu_o~\right) d \tau ~~ -\frac 1 \mu_o \oint_{S_{in}} \vec E \times \vec B \cdot d\vec a##
244417

Relevant equation:
244418

Since the potential difference V is independent of time and current I is steady, both the electric field and magnetic field are independent of time. Hence, the first term of R.H.S. of (8.9) is 0.

If V >0, then ## V_{in} - V_{out} ## = V,
## \Rightarrow V_{in} \gt V_{out} \Rightarrow ## There is a positive charge distribution ## \sigma ## on the inner cylinder.
Using Gauss's law,
## \vec E_{in} = \frac V {\ln \left (\frac b a \right) } \frac {\hat s } s~~~~~~ ~a\lt s\lt b ## ...(1)
Using Ampere's law,
## \vec B_{in} = \frac {\mu_0 I} {2\pi s} \hat \phi ~~~ ~~~~a\lt s\lt b## ...(2)

Assuming that (1) and (2) is applicable on the surface of the inner cylinder,
on the inner cylinder,
## \frac {dW} {dt} = - \frac 1 {\mu_0} \oint_{S_{in} }\vec E \times \vec B \cdot d \vec a##
## = - VI\frac {aL}{\ln \frac b a } ##

L.H.S. is the power spent on charges due to the electromagnetic force acting on the charges of the inner cylinder, while R.H.S. is the power radiated by the charges of the inner cylinder. In short, the power radiated by the charges is the power given to the charges by the electromagnetic force.
Is this correct?
The question says this is the power transported down the cables. How?
 
Physics news on Phys.org
Pushoam said:
Problem Statement: Problem 8.1 Calculate the power (energy per unit time) transported down the cables of Ex. 7.13 and Prob. 7.62, assuming the two conductors are held at potential difference V, and carry current I (down one and back up the other).

Example 7.13. A long coaxial cable carries current I (the current flows down the
surface of the inner cylinder, radius a, and back along the outer cylinder, radius
b) as shown in Fig. 7.40. Find the magnetic energy stored in a section of length l.
Relevant Equations: ## \frac {dW}{ dt} = - \frac d {dt} \int_{\upsilon}~~ \frac 1 2~ \left( \epsilon_{\omicron} E^2 + \frac {B^2} \mu_o~\right) d \tau ~~ -\frac 1 \mu_o \oint_{S_{in}} \vec E \times \vec B \cdot d\vec a##

View attachment 244417
Relevant equation:
View attachment 244418
Since the potential difference V is independent of time and current I is steady, both the electric field and magnetic field are independent of time. Hence, the first term of R.H.S. of (8.9) is 0.

If V >0, then ## V_{in} - V_{out} ## = V,
## \Rightarrow V_{in} \gt V_{out} \Rightarrow ## There is a positive charge distribution ## \sigma ## on the inner cylinder.
Using Gauss's law,
## \vec E_{in} = \frac V {\ln \left (\frac b a \right) } \frac {\hat s } s~~~~~~ ~a\lt s\lt b ## ...(1)
Using Ampere's law,
## \vec B_{in} = \frac {\mu_0 I} {2\pi s} \hat \phi ~~~ ~~~~a\lt s\lt b## ...(2)

Assuming that (1) and (2) is applicable on the surface of the inner cylinder,
on the inner cylinder,
## \frac {dW} {dt} = - \frac 1 {\mu_0} \oint_{S_{in} }\vec E \times \vec B \cdot d \vec a##
## = - VI\frac {aL}{\ln \frac b a } ##

L.H.S. is the power spent on charges due to the electromagnetic force acting on the charges of the inner cylinder, while R.H.S. is the power radiated by the charges of the inner cylinder. In short, the power radiated by the charges is the power given to the charges by the electromagnetic force.
Is this correct?
The question says this is the power transported down the cables. How?
Of course you know that if the result is anything other than [itex]\frac{dW}{dt} = VI[/itex], then something went wrong.

So far so good with your [itex]\vec E = \frac{V}{s \ln{\frac{a}{b}}} \hat s[/itex] and [itex]\vec B = \frac{\mu_0 I}{2 \pi s} \hat \phi[/itex], where [itex]\hat s[/itex] denotes the radial direction (I would have used [itex]\hat \rho[/itex] or [itex]\hat r[/itex] for the radial direction, but use whatever variable you want. We'll just continue to use [itex]\hat s[/itex] here). These look correct to me.

Now find

[tex]\frac{dW}{dt} = -\frac{1}{\mu_0} \int_S \left( \vec E \times \vec B \right) \cdot d\vec {A}[/tex]

Notice the above integral is not under a closed surface anymore. That's actually intentional. It's an open surface, and thus an open integral, because we are determining the power flow in only a single direction ("down the cables.")

Also, it's an area integral. And the area we're integrating over is the cross sectional area of the cable, and only the area between [itex]a[/itex] and [itex]b[/itex]. And we're only integrating a single section corresponding to our single direction.

But integrating over area isn't very convenient. Wouldn't it be nicer to integrate over [itex]s[/itex]? What is the relationship between [itex]ds[/itex] and [itex]d \vec A[/itex]?
 
Last edited:
## \frac { dW} {dt} = - \frac 1 {\mu_0}\, \int_S\, \vec E \times \vec B \cdot \, d\vec a##
## d\vec a = s \,ds \,d\phi ~\hat z ##
## \frac { dW} {dt} = - \frac 1 {\mu_0} \,\int_a^b \, \int_0 ^{2\pi}\,
\frac{V}{s \ln{\frac{b}{a}}} \,
\frac{\mu_0 I}{2 \pi s}
\, s \, ds \, d \phi = - VI ##

collinsmark said:
Notice the above integral is not under a closed surface anymore. That's actually intentional. It's an open surface, and thus an open integral, because we are determining the power flow in only a single direction ("down the cables.")

Also, it's an area integral. And the area we're integrating over is the cross sectional area of the cable, and only the area between a and b . And we're only integrating a single section corresponding to our single direction.

I did not get this.

Pushoam said:
1559388001728-png.png

According to the Poynting's theorem - equation (8.9), ## \frac { dW} {dt} ## is the work done by the electromagnetic force on the charges in a volume ## \upsilon ##. Here the charges are on the surface of inner cylinder and so a cylindrical volume ## a \leq s \leq a + \epsilon ## where ## \epsilon ## is a small positive quantity. I did not get why I should take s from a to b as there is no charge in region between a and b. So, taking s from a to a + ## \epsilon ## should be fine. ## \frac 1 {\mu_0}\, \int_S\, \vec E \times \vec B \cdot \, d\vec a## is the power radiated by the charges through the surface of the cylinderical volume. Since the curl part of the cylindrical surface area is perpendicular to Poynting vector, the integration over this area is 0. So, power flow in ## \hat s ## direction is 0. So, we have to integrate over the two cross - sectional area. This should be the power flow in ## \hat z ## direction.

I did not get why you are telling to integrate over only one cross-sectional area.
 
If you wish, think of the power source (maybe a battery with its terminals being connected to one end of the coaxial cable) as being somewhere inside the closed surface, with the coaxial cable being the only thing that exits the surface. In this case, the only place where [itex]\vec E \times \vec B[/itex] is not zero is the single cross section of the coaxial cable where it passes through the closed surface. And even then it's still zero inside the center conductor. So the only place that it's not zero is in this single cross section and only in the region between [itex]a[/itex] and [itex]b[/itex]. That's why you only need that single integral. Note that the surface vector of this area (and thus the surface vector for [itex]d \vec A[/itex]) is along the [itex]\hat z[/itex] direction. Also note that [itex]\vec E \times \vec B[/itex] also points along the [itex]\hat z[/itex] direction. This makes sense because you're taking the dot product of of [itex]\left( \vec E \times \vec B \right)[/itex] and [itex]d \vec A[/itex].

You need to integrate over the surface area of this cross sectional region of coaxial cable. Note the [itex]d \vec A[/itex] in
[tex]- \frac{1}{\mu_0} \int_S \left( \vec E \times \vec B \right) \cdot d \vec A[/tex].

But your [itex]\vec E[/itex] and [itex]\vec B[/itex] equations are all in terms of [itex]s[/itex].

[tex]\vec E = \frac{V}{s \ln \frac{a}{b}} \hat s[/tex]

[tex]\vec B = \frac{\mu_0 I}{2 \pi s} \hat \phi[/tex].

If you can somehow express [itex]d \vec A[/itex] in terms of [itex]ds[/itex] you should be able to integrate with respect to [itex]s[/itex].

Hint: If the area of the cross section is [itex]\vec A = (\pi s^2 - \pi a^2) \hat z[/itex], and where [itex]\pi a^2[/itex] is a constant, what is [itex]d \vec A[/itex] in terms of [itex]ds[/itex]? [Edit: I see you did this up at the very top of your last post. See my post below for additional comments on that.]
 
Last edited:
Pushoam said:
## \frac { dW} {dt} = - \frac 1 {\mu_0} \,\int_a^b \, \int_0 ^{2\pi}\,
\frac{V}{s \ln{\frac{b}{a}}} \,
\frac{\mu_0 I}{2 \pi s}
\, s \, ds \, d \phi = - VI ##

Also, I just noticed something. In your electric field equation, you had
[tex]\vec E = \frac{V}{s \ln \frac{b}{a}} \hat s[/tex]

You might want to double check that. I think you have the [itex]b[/itex] and the [itex]a[/itex] swapped.

Related to that, I'm pretty sure the final answer, [itex]\frac{dW}{dt} = VI,[/itex] should be positive.
 
  • Like
Likes   Reactions: Pushoam

Similar threads

  • · Replies 4 ·
Replies
4
Views
1K
  • · Replies 2 ·
Replies
2
Views
2K
Replies
2
Views
7K
Replies
3
Views
2K
  • · Replies 15 ·
Replies
15
Views
2K
Replies
1
Views
2K
  • · Replies 3 ·
Replies
3
Views
2K
  • · Replies 6 ·
Replies
6
Views
4K
Replies
3
Views
9K
  • · Replies 3 ·
Replies
3
Views
3K