Power of black body radiation at 1.00 nm

Click For Summary

Homework Help Overview

The discussion revolves around the calculation of black body radiation power at a wavelength of 1.00 nm, with participants exploring the relevant equations and their attempts at solving the problem.

Discussion Character

  • Exploratory, Assumption checking, Mathematical reasoning

Approaches and Questions Raised

  • Participants express concerns about the format of the original post and the clarity of the solution attempt. There are discussions about the equation P=IA and whether it is correctly applied. Some participants question the validity of the results, noting the surprising magnitude of the answer and whether it aligns with textbook values.

Discussion Status

There is an ongoing exploration of the calculations involved, with some participants suggesting that the original approach may not yield the correct answer. Others are attempting to verify their calculations against textbook references and discussing the implications of rounding and precision in their results.

Contextual Notes

Participants mention the need for accurate inputs and the potential for significant errors due to rounding in the calculations. There is also a reference to the complexity of achieving the correct leading digits in the final answer.

jjson775
Messages
112
Reaction score
26
Homework Statement
Consider a black body of surface area 20.0 cm.^2 and temperature 5 000 K. Find the spectral power per wavelength at 1.00 nm (an x or gamma ray.
Relevant Equations
See below
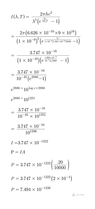
1613441216143.png
 
Physics news on Phys.org
and where is the attempt at solution? This is an absolute requirement to get homework help.
 
It’s shown in the post, every step.
 
jjson775 said:
It’s shown in the post, every step.
The format is not helpful. Relevant equations and attempt at solution are supposed to separate sections, formatted in a way that individual parts can be replied to. What you have done is as if a form asked for surname, given name, and address, and you squeezed all information into surname, on a sticker label (rather than typing it into each section).
 
  • Like
Likes   Reactions: SammyS
P=I/A? Are you sure?
And 10-1222/10-4=?
 
Duh. I fixed P = IA but still don’t have the right answer. Am I missing something about the phenomena or just another math error?
1613495291074.png
 
jjson775 said:
Duh. I fixed P = IA but still don’t have the right answer. Am I missing something about the phenomena or just another math error?
View attachment 278131
Do you know what the answer is supposed to be? I find it surprising to see a question in which the answer seems to be so infinitesimal, but I don't see any major error.
 
haruspex said:
Do you know what the answer is supposed to be? I find it surprising to see a question in which the answer seems to be so infinitesimal, but I don't see any major error.
According to my textbook, Serway Beichner Physics for Scientists and engineers, the correct answer is 9.42 x 10 ^1226. The numerator must be right, just multiplying constants, and I got the right power of 10 in the denominator. Beats me. Thanks very much for feedback.
 
According to my textbook, Serway Beichner Physics for Scientists and engineers, the correct answer is 9.42 x 10 ^-1226 W/M. The numerator must be right, just multiplying constants, and I got the right power of 10 in the denominator. Beats me. Thanks very much for your feedback. The next step in the problem is to calculate the power at 5.00 nm. I’ll see how I do with that and reply in case there is a typo in the book.
 
  • #10
jjson775 said:
According to my textbook, Serway Beichner Physics for Scientists and engineers, the correct answer is 9.42 x 10 ^-1226 W/M. The numerator must be right, just multiplying constants, and I got the right power of 10 in the denominator
You rounded the exponent of e to 2880, then rounded 2880 log10e to an integer also. To get the same leading digit as in the book you will need to keep a bit more precision. But in practical terms, when the power of ten is -1226, the leading digit of the mantissa is somewhat irrelevant. "Immeasurably small" should suffice.
 
  • #11
Succeeding parts of the problem involve calculating P at longer wavelengths w/o the need to use logarithms for the solution, and I was able to get answers that agreed with the book.
As far as I can tell, it is mathematically impossible to come up with the right answer to the original post using logs. The numerator of 3.747 x 10^-16 is certainly correct and the denominator is just a power of 10, so the intensity is exactly 3.747 x some power of 10 and you can’t get to P = 9.42 x 10^-1226 W/m from there. Am I right?
 
  • #12
##20 cm^2=20(10^{-4} m^2)=2(10^{-3})m^2 ##
 
  • #13
hutchphd said:
##20 cm^2=20(10^{-4} m^2)=2(10^{-3})m^2 ##
That’s right but doesn’t change my last reply.
 
  • #14
In order to track down the error they may have made it might be good to do the problem correctly. Not a confidence builder otherwise.
Also I'm just happy I needn't worry about x-rays from my halogen light bulbs!
 
  • #15
jjson775 said:
the denominator is just a power of 10
Only because you rounded to a whole number in the exponent.
We can determine how accurate your inputs would need to be to get the 'correct' leading digits.
Suppose you have a fractional error δ in the exponent for e. The fractional error in ##e^x## is ##\frac{\Delta e^x}{e^x}=\Delta x=x\delta##. Since x is about 3000, ##\frac{\Delta e^x}{e^x}=3000\delta##. To get an answer accurate to two sig figs, all the factors in the x term will need to be accurate to about 6 sig figs. For hc and K, you only used four.
This is why it is somewhat crazy to worry about any sig figs in this answer. Merely getting the order of magnitude is good enough.
 
  • Like
Likes   Reactions: Charles Link and hutchphd
  • #16
Got it! Thanks for your patient explanation. As I have mentioned in earlier posts, I am a retired engineer, 78 years old, and learning something about modern physics is on my bucket list. I am self studying using a university level textbook for scientists and engineers.
 
  • Like
Likes   Reactions: hutchphd

Similar threads

Replies
5
Views
2K
  • · Replies 10 ·
Replies
10
Views
2K
Replies
7
Views
2K
  • · Replies 19 ·
Replies
19
Views
2K
  • · Replies 7 ·
Replies
7
Views
4K
  • · Replies 2 ·
Replies
2
Views
2K
Replies
3
Views
2K
  • · Replies 10 ·
Replies
10
Views
2K
  • · Replies 6 ·
Replies
6
Views
2K
  • · Replies 1 ·
Replies
1
Views
1K