Prediction interval - what did I do wrong?

Click For Summary
SUMMARY

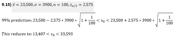
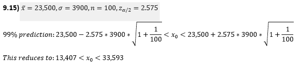
The discussion focuses on constructing a 99% prediction interval for the annual kilometers driven by automobile owners in Virginia, based on a sample of 100 owners with a mean of 23,500 kilometers and a standard deviation of 3,900 kilometers. The correct z-value for a 99% confidence level is approximately 2.576, leading to a prediction interval of (13,404, 33,596), which is slightly different from the book's stated bounds of (13,075, 33,925). The participants concluded that the book's answer may be incorrect, as the calculations using both z and t-values yield different results, with the t-value being 2.626 for n=99.

PREREQUISITES
  • Understanding of normal distribution and its properties
  • Knowledge of z-scores and t-scores in statistical analysis
  • Familiarity with the concept of prediction intervals
  • Ability to perform calculations involving standard deviation and sample size
NEXT STEPS
  • Learn how to calculate prediction intervals using Python's SciPy library
  • Study the differences between z-distribution and t-distribution
  • Explore the implications of sample size on statistical inference
  • Research common errors in statistical textbooks and how to verify solutions
USEFUL FOR

Statistics students, data analysts, and anyone involved in predictive modeling who seeks to understand the nuances of constructing prediction intervals and interpreting statistical results.

mnphys
Messages
10
Reaction score
0

Homework Statement


A random sample of 100 automobile owners in the state of Virginia shows that an automobile is driven on average 23,500 kilometers per year with a standard deviation of 3900 kilometers. Assume the distribution of the measurements to be approximately normal. Construct a 99% prediction interval for the kilometers traveled annually by an automobile owner in Virginia.

Homework Equations



qkjwMyn.png

x-bar is the mean, z-value is self-explanatory, σ is the standard deviation and n is the sample size.

The Attempt at a Solution


Here is my attempt at a solution:

rvUuiLN.png


However, the book has the bounds as (13,075, 33,925).

I also considered trying a t-value instead of z-value, but...
a) the book uses z-values for problems like this
b) the book never, ever asks for a t-value with n > 30
c) the t-value I do get if I try it that way doesn't work anyway.

I did this backwards based on the book's answer. With an interval of 10425, standard deviation of 3900, and n=100, the z/t value you would need is 2.66 - this doesn't work as a z-value, and as a t-value it would only work with a sample size of 60 or so. Please help, I'm lost!
 

Attachments

  • qkjwMyn.png
    qkjwMyn.png
    1.5 KB · Views: 1,120
  • rvUuiLN.png
    rvUuiLN.png
    3.7 KB · Views: 1,210
Physics news on Phys.org
mnphys said:

Homework Statement


A random sample of 100 automobile owners in the state of Virginia shows that an automobile is driven on average 23,500 kilometers per year with a standard deviation of 3900 kilometers. Assume the distribution of the measurements to be approximately normal. Construct a 99% prediction interval for the kilometers traveled annually by an automobile owner in Virginia.

Homework Equations



View attachment 215551
x-bar is the mean, z-value is self-explanatory, σ is the standard deviation and n is the sample size.

The Attempt at a Solution


Here is my attempt at a solution:

View attachment 215552

However, the book has the bounds as (13,075, 33,925).

I also considered trying a t-value instead of z-value, but...
a) the book uses z-values for problems like this
b) the book never, ever asks for a t-value with n > 30
c) the t-value I do get if I try it that way doesn't work anyway.

I did this backwards based on the book's answer. With an interval of 10425, standard deviation of 3900, and n=100, the z/t value you would need is 2.66 - this doesn't work as a z-value, and as a t-value it would only work with a sample size of 60 or so. Please help, I'm lost!

The value of ##z_{\alpha/2} ## is closer to 2.576 than to your 2.575, so the computed interval should be very slightly larger than yours (13,404 → 33,596). Furthermore, in this problem the t and the z are noticeably different (##t_{\alpha/2}(99) = 2.626##), so that gives a still wider interval, but still not as wide as that in the book.

I don't think you made a substantial error, so I would say that the book's answer is wrong. That type of issue is unfortunate, but is not uncommon.
 
  • Like
Likes   Reactions: FactChecker
Ok. I was kinda wondering if maybe the book was wrong in this case. Thanks for your reply!
 

Similar threads

  • · Replies 5 ·
Replies
5
Views
4K
  • · Replies 22 ·
Replies
22
Views
4K
  • · Replies 4 ·
Replies
4
Views
2K
Replies
4
Views
3K
Replies
2
Views
2K
  • · Replies 2 ·
Replies
2
Views
2K
Replies
1
Views
3K
Replies
4
Views
2K
  • · Replies 11 ·
Replies
11
Views
2K
Replies
4
Views
2K