Probability/entropy of spontaneous event

  • Thread starter Thread starter so_gr_lo
  • Start date Start date
  • Tags Tags
    Spontaneous
Click For Summary

Homework Help Overview

The discussion revolves around the probability of a pencil spontaneously jumping 10 cm into the air, considering thermal energy from its surroundings at 15°C. Participants explore the molecular motion of the pencil in different states and the implications of entropy in relation to this spontaneous event.

Discussion Character

  • Exploratory, Conceptual clarification, Assumption checking

Approaches and Questions Raised

  • Participants question the relationship between molecular motion at rest and in motion, and the implications of thermal energy on spontaneous events. There is also discussion about the connection between gravitational potential energy, entropy, and probability.

Discussion Status

The discussion is ongoing, with participants raising questions about the underlying physics concepts and seeking clarification on how entropy relates to the probability of the event. Some guidance has been offered regarding relevant equations and concepts, but no consensus has been reached.

Contextual Notes

Participants note a lack of clarity on how to connect the concepts of gravitational potential energy and entropy to the probability question posed. There is also mention of constraints related to the course material provided to them.

so_gr_lo
Messages
69
Reaction score
10
Homework Statement
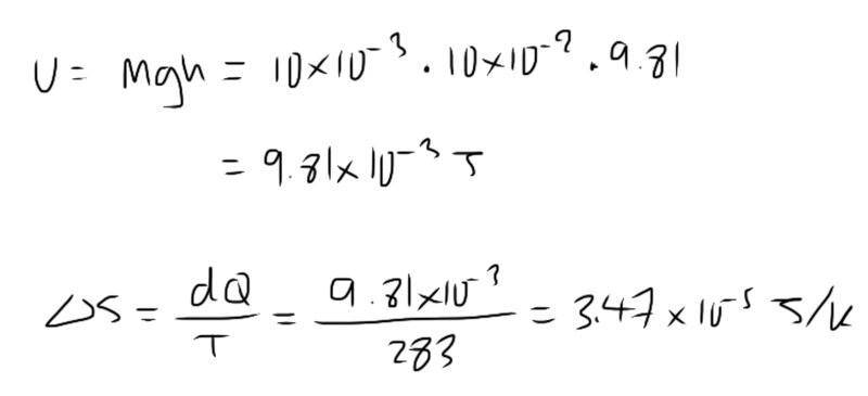
What is the probability that a 10g pencil lying on a table will spring spontaneously 10cm into the air at the expense of thermal energy of its surroundings which are at 15°C. What do you conclude from your result?

I’m guessing I’m supposed to calculate the gravitational potential energy, which comes from the thermal energy of the surroundings, but I’m not sure how that relates to probability. In my course I’ve only been given entropy equations, not sure how it relates to probability
Relevant Equations
dS = dQ/T

U = mgh
I
FCAE2500-1A8C-47E6-81A7-39A96487CD82.jpeg
 
Physics news on Phys.org
What is the difference in how the molecules of the pencil are moving between when it is lying at rest at 15C and when it is springing up in the air?
 
so_gr_lo said:
Homework Statement:: What is the probability that a 10g pencil lying on a table will spring spontaneously 10cm into the air at the expense of thermal energy of its surroundings which are at 15°C. What do you conclude from your result?
Without calculating anything, the immediate answer is 100 percent. If it is permissible, it will happen. Eventually.

Probably the intent is to ask about leaving the system alone for a suitably long time and then inspecting it to see whether the pencil is or is not 10 cm in the air.
 
jbriggs444 said:
Eventually
Unless that exceeds the lifetime of the universe.
 
haruspex said:
What is the difference in how the molecules of the pencil are moving between when it is lying at rest at 15C and when it is springing up in the air?
The molecules have zero velocity at rest but a velocity in the air?
 
so_gr_lo said:
The molecules have zero velocity at rest
Not if the pencil is at 15C.
 
so_gr_lo said:
Homework Statement:: What is the probability that a 10g pencil lying on a table will spring spontaneously 10cm into the air at the expense of thermal energy of its surroundings which are at 15°C. What do you conclude from your result?

I’m guessing I’m supposed to calculate the gravitational potential energy, which comes from the thermal energy of the surroundings, but I’m not sure how that relates to probability. In my course I’ve only been given entropy equations, not sure how it relates to probability
Relevant Equations:: dS = dQ/T

U = mgh

IView attachment 300690
Entropy change is correct. For probability, you need to go back and look up your lecture note/book on energy partition function and Boltzmann factor.
 
These are the equations I have in my notes, are they the ones your referring to?

5667E96D-C603-4872-95E6-EB80C003F49A.jpeg
 

Similar threads

  • · Replies 23 ·
Replies
23
Views
2K
  • · Replies 14 ·
Replies
14
Views
6K
Replies
10
Views
3K
Replies
6
Views
1K
Replies
10
Views
3K
  • · Replies 6 ·
Replies
6
Views
3K
  • · Replies 4 ·
Replies
4
Views
2K
  • · Replies 15 ·
Replies
15
Views
4K
  • · Replies 4 ·
Replies
4
Views
2K
  • · Replies 1 ·
Replies
1
Views
2K