Problem 7.7 and its solution from A Quantum Approach to Condensed Matter

Click For Summary

Homework Help Overview

The discussion revolves around an integral related to quantum mechanics, specifically in the context of condensed matter physics. Participants are examining an equation involving the integral of the hyperbolic tangent function and its implications for convergence and interpretation.

Discussion Character

  • Exploratory, Assumption checking, Mathematical reasoning

Approaches and Questions Raised

  • Participants are questioning the validity of the approximation used for the hyperbolic tangent function and its impact on the convergence of the integral. There are also inquiries about the definition of variables in the integral and potential mistakes in the integral's limits.

Discussion Status

The discussion is active, with participants exploring different interpretations of the integral and its components. Some have offered insights into potential issues with the approximation and integral setup, while others are attempting to clarify definitions and calculations.

Contextual Notes

There is mention of a specific equation from the referenced text, which may provide additional context for the integral and its variables. Participants are working under the constraints of not having the original book for reference.

MathematicalPhysicist
Science Advisor
Gold Member
Messages
4,662
Reaction score
372
Homework Statement
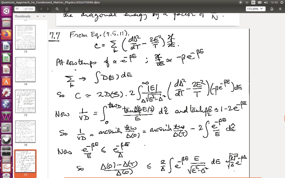
Problem 7.7 asks for:
How does the electronic specific heat of a superconductor vary with temperature ##T## as ##T\to 0##?
Relevant Equations
See the attachment below.
Well, I don't understand the integral part of ##1/(VD) = \int_0^{\hbar \omega_D}\frac{\tanh(\beta E/2}{E}dE## and ##\tanh(\beta E/2) \approx 1-2\exp(-\beta E)##, then he writes the following (which I don't understand how did he get it):
$$\frac{1}{VD} = \sinh^{-1} (\hbar \omega/\Delta(0)) = \sinh^{-1}(\hbar \omega/ \Delta(T)) - 2\int_0^{\hbar \omega_D}\exp(-\beta E)/E dE$$

If I plug the approximation of ##\tanh## I get the following:
$$1/(VD)=\log(\hbar \omega_D)-\log 0 -2\int \exp(-\beta E)/E dE$$

Doesn't seem to converge.
I don't understand this solution...
Any help?

Thanks!
 

Attachments

  • Screenshot from 2019-12-22 10-40-26.png
    Screenshot from 2019-12-22 10-40-26.png
    70 KB · Views: 321
Physics news on Phys.org
The given approximation is good for large ##\beta E## (which is generally what you want), but the integral needs the tanh at small ##\beta E##.
##\tanh(\beta E/2) \approx 1-2\exp(-\beta E)## makes the integral diverge as this approximation doesn't go to zero for ##E\to 0##.

I don't have the book, could there be a mistake with the integral borders?
 
I noticed in the integral, it's with respect to ##d\hat \varepsilon## rather than ##dE##. How is ##\hat \varepsilon## defined?
 
vela said:
I noticed in the integral, it's with respect to ##d\hat \varepsilon## rather than ##dE##. How is ##\hat \varepsilon## defined?
Yes, I think you are correct.
On page 249 in Eq. (7.5.7) we have the following identity:
$$E_{\vec{k}}=[\hat{\epsilon}_{\vec{k}}^2+\Delta^2_k(T)]^{1/2}$$

I think I can see how the calculation is done, and I believe it should be ##\frac{1}{VD} = \sinh^{-1} (\hbar \omega/\Delta(0)) - \sinh^{-1}(\hbar \omega/ \Delta(T)) - 2\int_0^{\hbar \omega_D}\exp(-\beta E)/E d\hat{\epsilon}##, I'll do the calculation and I'll let you know if I need more help.

Thanks!
 

Similar threads

  • · Replies 1 ·
Replies
1
Views
2K
Replies
3
Views
2K
  • · Replies 7 ·
Replies
7
Views
2K
  • · Replies 8 ·
Replies
8
Views
2K
  • · Replies 2 ·
Replies
2
Views
2K
  • · Replies 4 ·
Replies
4
Views
2K
  • · Replies 5 ·
Replies
5
Views
762
  • · Replies 7 ·
Replies
7
Views
3K
  • · Replies 1 ·
Replies
1
Views
1K
  • · Replies 3 ·
Replies
3
Views
2K