Proof of oscillation about the equilibrium

Click For Summary

Homework Help Overview

The problem involves demonstrating that an oscillator crosses the x = 0 boundary at a positive time, as stated in question 2(a) of the attached document. Participants are exploring the implications of initial conditions and the behavior of the system described by a second-order differential equation.

Discussion Character

  • Exploratory, Assumption checking, Mathematical reasoning

Approaches and Questions Raised

  • Participants discuss the implications of setting initial displacement to zero and whether this allows for oscillation. There are inquiries about the correct interpretation of parameters and the form of the solution, particularly regarding the presence of two values for p in the characteristic equation.

Discussion Status

The discussion is ongoing, with participants providing feedback on each other's attempts and questioning the assumptions made about initial conditions and the solution form. Some guidance has been offered regarding the need for two integration constants in the context of a second-order differential equation.

Contextual Notes

There are mentions of issues with the clarity of shared images, which may hinder understanding. Participants are also navigating the constraints of working with symbols versus numerical values in their attempts to solve the problem.

Bonnie
Messages
18
Reaction score
1

Homework Statement



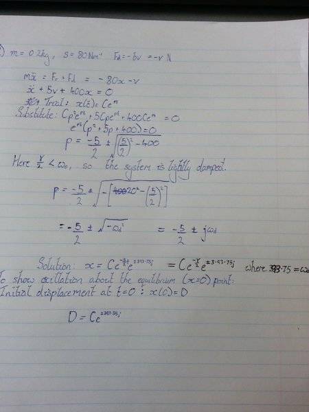
The problem is question 2(a) in the attached pdf. I seem to find myself at a dead end and am not sure where to go from here - I will attach my working in a separate file, but basically I need to show that the oscillator passes/crosses over the x = 0 boundary at a positive time, but I don't seem to be able to do that (or have enough information to) without ending up with nothing, or an impossible equation, like an exponential term = 0.

Homework Equations

The Attempt at a Solution

 

Attachments

  • PHYS205 Assignment 8.pdf
    PHYS205 Assignment 8.pdf
    17.5 KB · Views: 470
  • 20180514_101513.jpg
    20180514_101513.jpg
    27.4 KB · Views: 508
Physics news on Phys.org
Your picture is half illegible. Seems you do find an ##\omega## though.
However: your try with an intial displacement of 0 of course doesn't let the thing oscillate !

free tip: work with symbols, not with numbers. Only at the last moment, if/when a value is needed, subtitute values.
 
BvU said:
Your picture is half illegible. Seems you do find an ##\omega## though.
However: your try with an intial displacement of 0 of course doesn't let the thing oscillate !

free tip: work with symbols, not with numbers. Only at the last moment, if/when a value is needed, subtitute values.

ω is 20 rads-1, from the equation (I have shown it only with values substituted):
p = -γ/2 +/- √[ω2 - (γ/2)2]
where ω2 = 400 and γ = 5\

And I set x(0) = D, not 0, as x is a function of t, is that incorrect?
Thanks
 
Bonnie said:
And I set x(0) = D, not 0, as x is a function of t, is that incorrect?
No, that's correct. But it looks a lot like a zero on my screen.

Your Solution
upload_2018-5-14_0-44-14.png

has ##x=Ce^{-{5\over 2}t} e^{\rm illegible}## when originally it was
upload_2018-5-14_0-45-25.png
( so probably ##x=Ce^{pt} ## ?) and you found two ##p##. What happened to the second ?
 

Attachments

  • upload_2018-5-14_0-44-14.png
    upload_2018-5-14_0-44-14.png
    970 bytes · Views: 809
  • upload_2018-5-14_0-45-25.png
    upload_2018-5-14_0-45-25.png
    748 bytes · Views: 851
BvU said:
No, that's correct. But it looks a lot like a zero on my screen.

Your Solution View attachment 225681
has ##x=Ce^{-{5\over 2}t} e^{\rm illegible}## when originally it was View attachment 225682 ( so probably ##x=Ce^{pt} ## ?) and you found two ##p##. What happened to the second ?
I'll try to attach a better photo, but the second p is included in the e+/- 393.75j
 

Attachments

  • 20180514_101513.jpg
    20180514_101513.jpg
    25.7 KB · Views: 473
Bonnie said:
I'll try to attach a better photo, but the second p is included in the e+/- 393.75j
Ah, I've just realized that the photo quality is significantly decreased by uploading it here. Apologies for that
 
You need to rethink your solution. A second order differential equation needs two integration constants (one for ##x## and one for ##\dot x## if you want to put it that way).

If there are two ##p## to solve the characteristic equation, then ##C_1 \,e^{p_1 t}## is a solution and so is ##C_2 \,e^{p_2 t}##.
 

Similar threads

  • · Replies 11 ·
Replies
11
Views
2K
Replies
2
Views
1K
Replies
1
Views
3K
  • · Replies 1 ·
Replies
1
Views
2K
  • · Replies 7 ·
Replies
7
Views
3K
  • · Replies 17 ·
Replies
17
Views
2K
  • · Replies 2 ·
Replies
2
Views
2K
  • · Replies 15 ·
Replies
15
Views
6K
  • · Replies 2 ·
Replies
2
Views
2K
Replies
2
Views
1K