Proof of the Cauchy-Schwarz Iequality .... Garling, Proposition 11.3.1 .... ....

  • Context: MHB 
  • Thread starter Thread starter Math Amateur
  • Start date Start date
  • Tags Tags
    Proof
Click For Summary
SUMMARY

The discussion centers on understanding Proposition 11.3.1 from D. J. H. Garling's "A Course in Mathematical Analysis: Volume II: Metric and Topological Spaces, Functions of a Vector Variable." Participants clarify that the term $$\langle x, y \rangle^2$$ does not appear in Garling's proof; instead, the proof utilizes the terms $$\overline{\lambda}\langle x, y \rangle$$ and $$\lambda\langle y, x \rangle$$, which lead to the conclusion that $$|\langle x, y \rangle|^2$$ is used. The confusion arises from the treatment of complex numbers and their conjugates, emphasizing the importance of careful notation in mathematical proofs.

PREREQUISITES
  • Understanding of inner product spaces and their properties.
  • Familiarity with complex numbers and their conjugates.
  • Knowledge of metric spaces and normed spaces as discussed in Garling's work.
  • Ability to interpret mathematical proofs and notation accurately.
NEXT STEPS
  • Review Garling's definitions and notation in the introduction to inner product spaces.
  • Study the properties of complex conjugates in the context of inner products.
  • Examine other proofs involving the Cauchy-Schwarz inequality for deeper insights.
  • Learn about the implications of complex numbers in mathematical analysis.
USEFUL FOR

Mathematics students, particularly those studying analysis and linear algebra, as well as educators looking to clarify complex number operations in inner product spaces.

Math Amateur
Gold Member
MHB
Messages
3,920
Reaction score
48
I am reading D. J. H. Garling's book: "A Course in Mathematical Analysis: Volume II: Metric and Topological Spaces, Functions of a Vector Variable" ... ...

I am focused on Chapter 11: Metric Spaces and Normed Spaces ... ...

I need some help to fully understand the proof of Proposition 11.3.1 ...

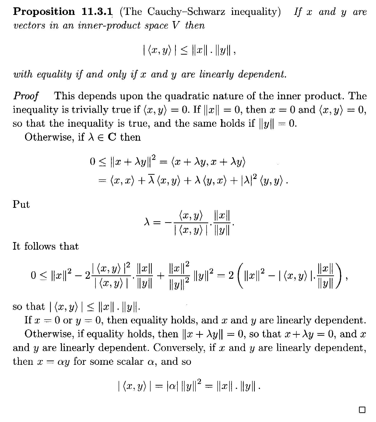
Garling's statement and proof of Proposition 11.3.1 reads as follows:View attachment 8956I need help with exactly how Garling concluded that with his substitution for $$\lambda$$ ... we have

$$\lambda^2 \langle x, y \rangle = \frac{ \langle x, y \rangle^2 }{ \mid \langle x, y \rangle \mid^2 } \frac{ \| x \|^2 }{ \| y \|^2 } \| y \|^2 = \| x \|^2$$ ... ... My problem is what sign (plus or minus) and value do we give to $$\langle x, y \rangle^2$$ ... Garling seems to treat $$\langle x, y \rangle^2$$ as if it were equal to $$ \mid \langle x, y \rangle \mid^2$$ ... and cancels with the denominator ... or so it seems ...?

But ... $$\langle x, y \rangle$$ is a complex number, say $$z$$ ... and so we are dealing with a complex number $$z^2 = \langle x, y \rangle^2$$ ... and, of course, $$z^2$$ is neither positive or negative ... ... ? ... so how do we end up with

$$\lambda^2 \langle x, y \rangle = \| x \|^2$$Hope that someone can help ...

Peter=========================================================================================It may help readers of the above post to have access to Garling's introduction to inner product spaces where he gives the relevant definitions and notation ... so I am providing access to the relevant text as follows:
View attachment 8957
View attachment 8958
Hope that helps ...

Peter
 

Attachments

  • Garling - Proposition 11.3.1... Cauchy-Schwartz Inequality.png
    Garling - Proposition 11.3.1... Cauchy-Schwartz Inequality.png
    26.7 KB · Views: 148
  • Garling - 1 - Start of Secton 11.3 on Inner Product Spaces ... .PAGE 1 .png
    Garling - 1 - Start of Secton 11.3 on Inner Product Spaces ... .PAGE 1 .png
    17 KB · Views: 147
  • Garling - 2 - Start of Secton 11.3 on Inner Product Spaces ... .PAGE 2 .png
    Garling - 2 - Start of Secton 11.3 on Inner Product Spaces ... .PAGE 2 .png
    41.6 KB · Views: 169
Physics news on Phys.org
Peter said:
My problem is what sign (plus or minus) and value do we give to $$\langle x, y \rangle^2$$ .
In fact, $$\langle x, y \rangle^2$$ does not occur anywhere in Garling's proof. The proof contains the terms $\overline{\lambda}\langle x, y \rangle$ and $\lambda\langle y, x \rangle$. In each of those cases, $\langle x, y \rangle$ gets multiplied by its complex conjugate $\langle y,x \rangle$, so that the product is equal to $|\langle x, y \rangle|^2$.
 
Opalg said:
In fact, $$\langle x, y \rangle^2$$ does not occur anywhere in Garling's proof. The proof contains the terms $\overline{\lambda}\langle x, y \rangle$ and $\lambda\langle y, x \rangle$. In each of those cases, $\langle x, y \rangle$ gets multiplied by its complex conjugate $\langle y,x \rangle$, so that the product is equal to $|\langle x, y \rangle|^2$.
Hmmm ... yes ... you're right of course...

I should have been more careful when I was writing out the details of the proof ...

Thanks for the help ...

Peter
 

Similar threads

Replies
2
Views
2K
  • · Replies 2 ·
Replies
2
Views
2K
Replies
6
Views
2K
  • · Replies 2 ·
Replies
2
Views
2K
  • · Replies 3 ·
Replies
3
Views
3K
  • · Replies 2 ·
Replies
2
Views
3K
  • · Replies 5 ·
Replies
5
Views
2K
Replies
4
Views
2K
Replies
1
Views
2K
  • · Replies 1 ·
Replies
1
Views
1K