Normed and Inner Product Spaces .... Garling, Corollary 11.3.2 ....

  • Context: MHB 
  • Thread starter Thread starter Math Amateur
  • Start date Start date
  • Tags Tags
    Inner product Product
Click For Summary
SUMMARY

The discussion centers on D. J. H. Garling's Corollary 11.3.2 from "A Course in Mathematical Analysis: Volume II: Metric and Topological Spaces, Functions of a Vector Variable," specifically regarding the Cauchy-Schwarz Inequality. The corollary asserts that equality holds if and only if the real part of the inner product $\mathscr{R} \ \langle x, y \rangle$ equals the product of the norms $\| x \| \cdot \| y \|$. This condition is equivalent to either $y = 0$ or $x = \alpha y$ with $\alpha \ge 0$. The proof involves demonstrating that if $x$ and $y$ are linearly dependent, the scalar $\alpha$ must be non-negative.

PREREQUISITES
  • Understanding of inner product spaces
  • Familiarity with the Cauchy-Schwarz Inequality
  • Knowledge of normed spaces
  • Basic concepts of linear dependence
NEXT STEPS
  • Study the properties of inner products in normed spaces
  • Explore the implications of the Cauchy-Schwarz Inequality in various mathematical contexts
  • Investigate linear dependence and independence of vectors
  • Review advanced topics in metric spaces as presented in Garling's work
USEFUL FOR

Mathematicians, students of advanced calculus, and anyone studying functional analysis or linear algebra will benefit from this discussion, particularly those focusing on inner product and normed spaces.

Math Amateur
Gold Member
MHB
Messages
3,920
Reaction score
48
I am reading D. J. H. Garling's book: "A Course in Mathematical Analysis: Volume II: Metric and Topological Spaces, Functions of a Vector Variable" ... ...

I am focused on Chapter 11: Metric Spaces and Normed Spaces ... ...

I need some help to fully understand the proof of Corollary 11.3.2 ... (Corollary to the Cauchy-Schwarz Inequality ... )

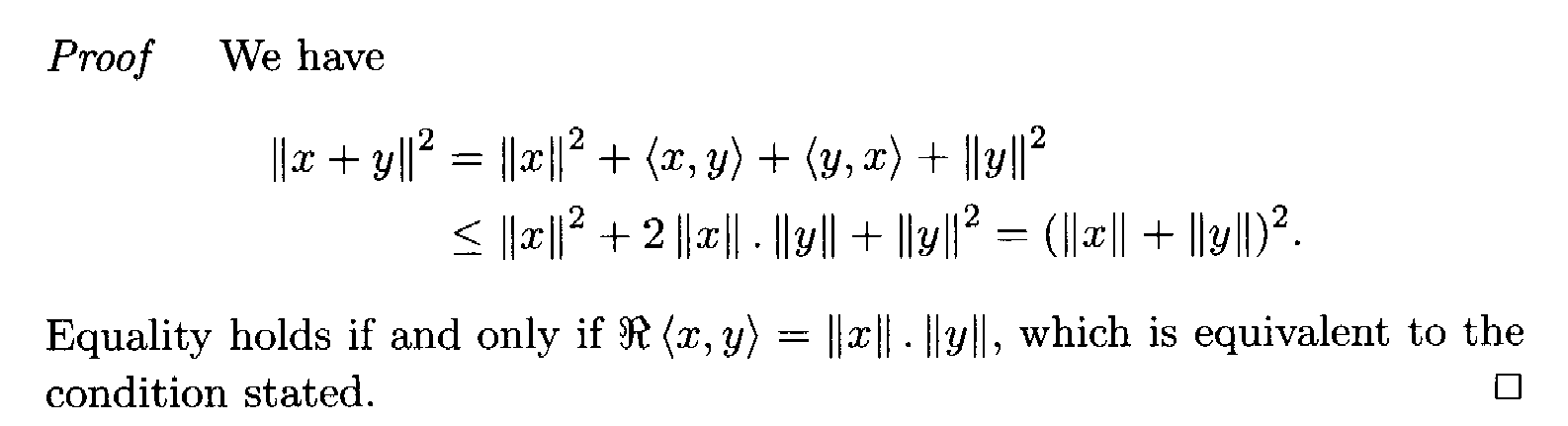
Garling's statement and proof of Corollary 11.3.2 reads as follows:View attachment 8960
View attachment 8961In the above text from Garling we read the following:

" ... ... Equality holds if and only if $$\mathscr{R} \ \langle x, y \rangle = \| x \| . \| y \|$$, which is equivalent to the condition stated. ... ... "
Can someone please rigorously demonstrate that the condition that ... $$\mathscr{R} \ \langle x, y \rangle = \| x \| . \| y \| $$ ...

... is equivalent to ... either $$y = 0$$ or $$x = \alpha y$$ with $$\alpha \ge 0$$ ... ...Help will be appreciated ...

Peter
 

Attachments

  • Garling - 1 - Corollary 11.3.2 ... ... PART 1 ... .png
    Garling - 1 - Corollary 11.3.2 ... ... PART 1 ... .png
    3.1 KB · Views: 142
  • Garling - 2 - Corollary 11.3.2 ... ... PART 2 ... .png
    Garling - 2 - Corollary 11.3.2 ... ... PART 2 ... .png
    5.5 KB · Views: 162
Physics news on Phys.org
Peter said:
Can someone please rigorously demonstrate that the condition that ... $$\mathscr{R} \ \langle x, y \rangle = \| x \| . \| y \| $$ ...

... is equivalent to ... either $$y = 0$$ or $$x = \alpha y$$ with $$\alpha \ge 0$$ ... ...
${\frak R}\langle x,y\rangle \leqslant |\langle x,y\rangle| \leqslant \|x\|\|y\|$, and (by Cauchy-Schwarz) equality can only hold in the second of those inequalities if $x$ and $y$ are linearly dependent. In that case, either $y$ is zero or $x$ must be a scalar multiple of $y$.

To see that $\alpha \geqslant0$, if $x = \alpha y$ then $\langle x,y\rangle = \langle \alpha y,y\rangle = \alpha \|y\|^2$. Also, $\|x\|\|y\| = |\alpha|\|y\|^2$. So if ${\frak R}\langle x,y\rangle = \|x\|\|y\|$ (and $y\ne0$) it follows that ${\frak R}\alpha = |\alpha|$. For a complex number $\alpha$, that implies that $\alpha$ is real and non-negative.
 


Sure, I can try to help explain this for you. First, let's break down the statement and proof of Corollary 11.3.2. The corollary is a result that follows from the Cauchy-Schwarz Inequality, which states that for any two vectors x and y in a normed space, we have:

| \langle x, y \rangle | \le \| x \| \cdot \| y \|

with equality holding if and only if x and y are linearly dependent. This means that either x = \alpha y or y = \alpha x for some scalar \alpha.

Now, let's look at Garling's statement and proof. He says that equality in the Cauchy-Schwarz Inequality holds if and only if \mathscr{R} \ \langle x, y \rangle = \| x \| \cdot \| y \|, which is equivalent to the condition stated. This condition is that either y = 0 or x = \alpha y with \alpha \ge 0.

To see why this is true, we can consider two cases.

Case 1: y = 0. In this case, it is clear that \mathscr{R} \ \langle x, y \rangle = \| x \| \cdot \| y \|, since both sides are equal to 0.

Case 2: y \neq 0. In this case, we can write y as a scalar multiple of x, i.e. y = \alpha x for some scalar \alpha. Then, we have:

\mathscr{R} \ \langle x, y \rangle = \mathscr{R} \ \langle x, \alpha x \rangle = \alpha \mathscr{R} \ \langle x, x \rangle = \alpha \| x \|^2

On the other hand, \| x \| \cdot \| y \| = \| x \| \cdot \| \alpha x \| = \| x \| \cdot | \alpha | \| x \| = | \alpha | \| x \|^2

Since x \neq 0 (otherwise y would be 0), we have \| x \| \neq 0, which means that | \alpha | = \alpha. Therefore, we have:

\mathscr{R} \ \langle x, y \rangle = \| x \| \cdot \| y \| if and
 

Similar threads

  • · Replies 2 ·
Replies
2
Views
2K
Replies
2
Views
2K
  • · Replies 2 ·
Replies
2
Views
2K
  • · Replies 2 ·
Replies
2
Views
2K
  • · Replies 3 ·
Replies
3
Views
3K
  • · Replies 2 ·
Replies
2
Views
2K
  • · Replies 2 ·
Replies
2
Views
3K
  • · Replies 5 ·
Replies
5
Views
2K
  • · Replies 7 ·
Replies
7
Views
3K
  • · Replies 5 ·
Replies
5
Views
2K