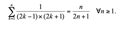
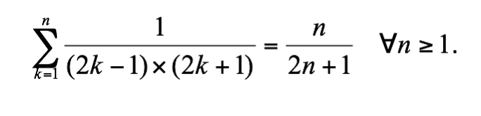
Prove by mathematical induction Σ(1/[(2k-1)(2k+1)]=n/(2n+1)

Click For Summary

Discussion Overview

The discussion revolves around proving the mathematical statement Σ(1/[(2k-1)(2k+1)]) = n/(2n+1) using mathematical induction. Participants are exploring the steps involved in the induction process, including verifying the base case and formulating the inductive step.

Discussion Character

  • Homework-related
  • Mathematical reasoning

Main Points Raised

  • One participant requests assistance with the proof, indicating a lack of clarity on how to start.
  • Another participant emphasizes the importance of showing work in induction proofs and outlines the general structure of the proof technique, including the necessity of verifying the base case.
  • A participant suggests starting with the base case for n=1 and attempts to verify it, concluding that both sides of the equation hold true for this case.
  • Following the base case verification, another participant discusses the inductive step, proposing how to express the sum for n+1 and asking if the right-hand side can be shown to match the required form.
  • A participant expresses intent to continue working on the problem after receiving guidance.

Areas of Agreement / Disagreement

The discussion shows a mix of uncertainty and guidance, with no consensus reached on the proof's completion. Participants are collaboratively exploring the steps without resolving the overall proof.

Contextual Notes

Participants have not yet fully resolved the mathematical steps necessary to complete the proof by induction, and there are indications of missing assumptions or details in the inductive reasoning.

simcan18
Messages
6
Reaction score
0
I'm in need of assistance for the following attachement.

View attachment 8456
 

Attachments

  • Screen Shot 2018-10-05 at 9.11.34 AM.png
    Screen Shot 2018-10-05 at 9.11.34 AM.png
    4.1 KB · Views: 174
Last edited by a moderator:
Mathematics news on Phys.org
I know this is a cliche, but you should really show your work (also in http://mathhelpboards.com/pre-calculus-21/prove-induction-25021.html), not just because it makes others happy, but mostly because it is not useful, nor fun, to be spoon-fed an induction proof.

You are probably aware of the general structure of this proof technique, but in what is perhaps its most elementary form it looks like this. You want to prove a statement for all $n \ge n_0$ where $n_0$ is an integer:

step 0. You verify the base case, i.e. you verify the statement holds for $n = n_0$. Often, but not always, $n_0 = 0$ or $n_0 = 1$.
step 1. You verify: If the statement holds for all $n = n_0,\ldots,m$ where $m \ge n_0$ is a certain integer, then the statement also holds for $n = m + 1$.

Step 0 cannot be omitted, although it is often tempting to do so.

Now, in these two threads, why don't you start by verifying step 0. If that checks out, then formulate the induction hypotheses. (This hypothesis is the part between if and then in step 1.) Finally, take all the time that is required to perform the induction step and do not give up on it too easily.
 
Last edited:
Thanks, but I'm unsure of how to get started with the problem as I don't understand which is the reason for no work being shown.
 
So, do I start like this
n=1
1 / (2x1-1) x(2x1+1) = 1/ 2(1) + 1 = 1/3, so both equations are true for n=1, as it is 1/3
 
Okay, once you've shown the base case is true, you want to decide what your inductive step is going to be, given the hypothesis \(P_n\):

$$\sum_{k=1}^n\left(\frac{1}{(2k-1)(2k+1)}\right)=\frac{n}{2n+1}$$

I see that in order for the sum on the LHS to go up to \(n+1\), we need to add:

$$\frac{1}{(2(n+1)-1)(2(n+1)+1)}=\frac{1}{(2n+1)(2n+3)}$$

And this gives us:

$$\sum_{k=1}^n\left(\frac{1}{(2k-1)(2k+1)}\right)+\frac{1}{(2(n+1)-1)(2(n+1)+1)}=\frac{n}{2n+1}+\frac{1}{(2n+1)(2n+3)}$$

Or:

$$\sum_{k=1}^{n+1}\left(\frac{1}{(2k-1)(2k+1)}\right)=\frac{n}{2n+1}+\frac{1}{(2n+1)(2n+3)}$$

Can you show that the RHS is:

$$\frac{n+1}{2(n+1)+1}$$ ?

If you can, then you will have derived \(P_{n+1}\) from \(P_n\) thereby completing the proof by induction. :)
 
Ok. I'll work on this some more to see if I can get it.

Thanks
 

Similar threads

  • · Replies 13 ·
Replies
13
Views
2K
  • · Replies 1 ·
Replies
1
Views
2K
  • · Replies 2 ·
Replies
2
Views
2K
  • · Replies 5 ·
Replies
5
Views
3K
  • · Replies 10 ·
Replies
10
Views
4K
  • · Replies 5 ·
Replies
5
Views
2K
  • · Replies 7 ·
Replies
7
Views
4K
  • · Replies 19 ·
Replies
19
Views
4K
  • · Replies 2 ·
Replies
2
Views
2K
  • · Replies 5 ·
Replies
5
Views
2K