Proof with Induction 3/2-5/6+7/12-9/20+11/30-....

  • Context: MHB 
  • Thread starter Thread starter Yankel
  • Start date Start date
  • Tags Tags
    Induction Proof
Click For Summary

Discussion Overview

The discussion revolves around finding a general expression for a series involving alternating sums of fractions and proving its validity using mathematical induction. Participants explore the structure of the series, including its numerators and denominators, and share their attempts at formulating a proof.

Discussion Character

  • Exploratory
  • Mathematical reasoning
  • Debate/contested

Main Points Raised

  • One participant requests assistance in determining the general expression for the left-hand side of the equation related to the series.
  • Another participant proposes the general term as $\dfrac{(-1)^{n+1}(2n+1)}{n^2+n}$.
  • A different participant identifies the numerators as odd numbers, specifically $2n + 1$, and discusses the denominators using Newton's divided difference formula, concluding they follow the pattern $n^2 + n$.
  • Another participant suggests that the denominators can also be expressed as the product $n(n+1)$, indicating a sequence of products of consecutive integers.
  • One participant expresses difficulty in proving the statement by induction, particularly at the stage of transitioning from $n=k$ to $n=k+1$.
  • A later reply provides a detailed manipulation of the terms in the series, attempting to show the induction step but does not conclude the proof.

Areas of Agreement / Disagreement

Participants do not reach a consensus on the general expression or the proof by induction, as there are multiple proposed forms for the general term and differing approaches to the proof.

Contextual Notes

Some participants' arguments rely on specific mathematical techniques and assumptions about the series' structure, which may not be universally accepted or resolved within the discussion.

Yankel
Messages
390
Reaction score
0
Hello all,

In the attached picture there is an equation. I need to fill the general expression on the left hand side, and to prove by induction that the sum is equal to the expression in the right hand side.

I am not sure how to find the general expression. Can you kindly assist ?

Thank you !

View attachment 9516
 

Attachments

  • indu.PNG
    indu.PNG
    1.3 KB · Views: 167
Mathematics news on Phys.org
$\dfrac{(-1)^{n+1}(2n+1)}{n^2+n}$
 
The numerators are clearly the odd numbers so: 2n+ 1.

The denominators are a little harder! I would have used "Newton's "divided difference" formula: adding a first term of "0", the "first differences" are 2- 0= 2, 6- 2= 4, 12- 6= 6, 20- 12= 8, 30- 20= 10; the "second differences" are 4- 2= 2, 6- 4= 2, 8- 6= 2, 10- 8= 2. Those are all "2" so all further "differences" are 0. The denominators are given by the quadratic [tex]0+ 2n+ (2/2)n(n-1)= n^2+ n[/tex].

Of course, since the +/- sign alternates we need -1 to a power. The first term, with n= 1, is positive so that can be either [tex](-1)^{n+1}[/tex] or [tex](-1)^{n-1}[/tex].
 
I saw sequence of denominators, $2 ,6,12,20,30,...$, as

$(1\cdot 2), (2 \cdot 3), (3 \cdot 4), ( 4 \cdot 5),(5 \cdot 6), ... , [n \cdot (n+1)] , ...$
 
I tried proving this by induction using the general statement that skeeter wrote, but I couldn't do it.

I am stuck at the n=k+1 stage...
 
Last edited:
note $1 + \dfrac{(-1)^{n+1}}{n+1} = \dfrac{(n+1) + (-1)^{n+1}}{n+1}$
${\color{red}{\dfrac{3}{2} - \dfrac{5}{6} + \dfrac{7}{12} - \dfrac{9}{20} + ... + \dfrac{(-1)^{n+1}(2n+1)}{n(n+1)}}} + \dfrac{(-1)^{(n+1)+1}[2(n+1)+1]}{(n+1)[(n+1)+1]}$

${\color{red}\dfrac{(n+1) + (-1)^{n+1}}{n+1}} + \dfrac{(-1)^{n+2}(2n+3)}{(n+1)(n+2)}$

$\dfrac{(n+1)(n+2) + (-1)^{n+1}(n+2)}{(n+1)(n+2)} + \dfrac{(-1)^{n+2}(2n+3)}{(n+1)(n+2)}$

$\dfrac{(n+1)(n+2) + (-1)^{n+1}(n+2) - (-1)^{n+1}(2n+3) }{(n+1)(n+2)}$

$\dfrac{(n+1)(n+2) + (-1)^{n+1}[(n+2) - (2n+3)] }{(n+1)(n+2)}$

$\dfrac{(n+1)(n+2) + (-1)^{n+2}(n+1) }{(n+1)(n+2)}$

$\dfrac{(n+1)(n+2)}{(n+1)(n+2)}+ \dfrac{(-1)^{n+2}(n+1)}{(n+1)(n+2)}$

$ 1 + \dfrac{(-1)^{(n+1)+1}}{(n+1)+1}$
 

Similar threads

  • · Replies 2 ·
Replies
2
Views
2K
Replies
2
Views
2K
  • · Replies 4 ·
Replies
4
Views
3K
  • · Replies 2 ·
Replies
2
Views
2K
  • · Replies 5 ·
Replies
5
Views
3K
Replies
3
Views
2K
  • · Replies 68 ·
3
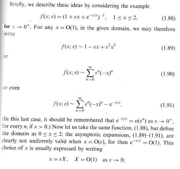
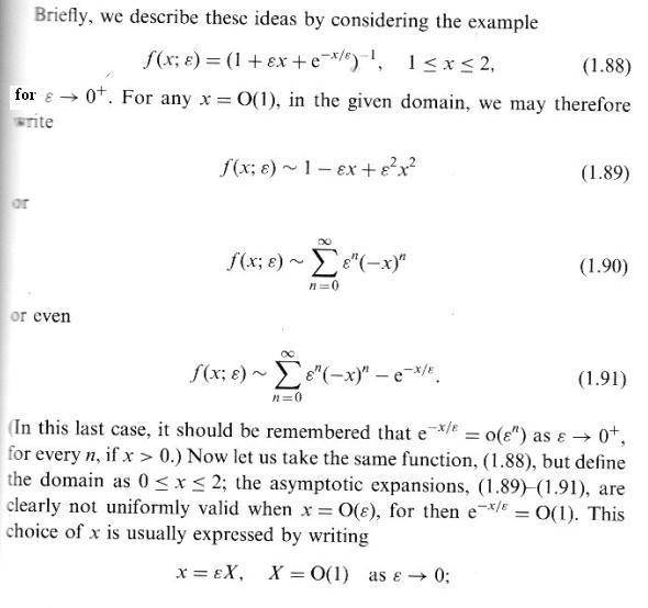
Replies
68
Views
13K
  • · Replies 7 ·
Replies
7
Views
3K
  • · Replies 11 ·
Replies
11
Views
3K
Replies
3
Views
3K