Question about Bolzano-Weierstrass Theorem Proof

  • Context: Graduate 
  • Thread starter Thread starter shinobi20
  • Start date Start date
  • Tags Tags
    Proof Theorem
Click For Summary

Discussion Overview

The discussion revolves around the proof of the Bolzano-Weierstrass Theorem as presented by Serge Lang in his book "Undergraduate Analysis." Participants express confusion regarding specific aspects of the proof, particularly the behavior of sequences and the properties of greatest lower bounds (GLBs).

Discussion Character

  • Technical explanation
  • Debate/contested

Main Points Raised

  • One participant expresses difficulty understanding Lang's proof of the Bolzano-Weierstrass Theorem, noting that it seems odd compared to other sources.
  • Another participant asks for clarification on what specific part of the proof is confusing.
  • Concerns are raised about the increasing nature of the sequence Cn and the relationship between Xn and Xn+1, questioning how it can be assured that Xn is less than Xn+1.
  • A participant explains that Cn is defined as the greatest lower bound of the sequence of Xn's except for the first n-1 elements, suggesting that removing elements does not decrease the GLB.
  • Further questioning arises regarding the assurance that Cn+1 will not be less than Cn, especially if the Xn's oscillate randomly, with examples provided to illustrate this concern.
  • Another participant reiterates the point about the GLBs, arguing that the oscillation of Xn's does not affect the definition of Cn and Cn+1 as GLBs.
  • A later reply indicates that the initial confusion was resolved, as the participant now understands the relationship between Cn and Xn+1.

Areas of Agreement / Disagreement

Participants express differing levels of understanding regarding the proof, with some confusion remaining about the properties of the sequences involved. There is no consensus on the clarity of the proof, as multiple viewpoints and questions persist.

Contextual Notes

Participants highlight potential misunderstandings related to the definitions of greatest lower bounds and the behavior of oscillating sequences, but these issues remain unresolved within the discussion.

shinobi20
Messages
277
Reaction score
20
1.jpg
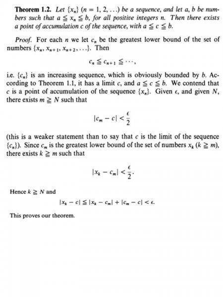
This is the proof of Serge Lang in Undergraduate Analysis. I can't quite understand what he meant in his proof. I read different sources about the theorem but Lang's proof is quite odd. Any help?
BTW. theorem 1.1 just states that Every bounded and monotonic sequence is convergent.
 
Physics news on Phys.org
What don't you understand about the proof?
 
I don't understand the proof of the Bolzano-Weierstrass Theorem according to Serge Lang...
 
Yes but what about it don't you understand?
 
How can Cn be increasing? How can we be sure that the Xn will less than Xn+1?
 
shinobi20 said:
How can Cn be increasing? How can we be sure that the Xn will less than Xn+1?
##C_{n}## is the greatest lower bound of the sequence of ##x_{n}##'s except for the first ##n-1## of them. If you remove some more of the ##x_{n} ##'s then the greatest lower bound can not be less than ##C_{n}##.
 
Yes but how can we be sure that Cn+1 will not be less than Cn if ever those Xn's oscillate in a very random manner? For example, if Xn+1 is less than Xn, then Cn+1 is the GLB of the set Xn+1's, and Cn is the GLB of the Xn's but this implies Cn+1 is less than Cn.
 
shinobi20 said:
Yes but how can we be sure that Cn+1 will not be less than Cn if ever those Xn's oscillate in a very random manner? For example, if Xn+1 is less than Xn, then Cn+1 is the GLB of the set Xn+1's, and Cn is the GLB of the Xn's but this implies Cn+1 is less than Cn.
Because they are greatest lower bounds. It doesn't matter if the X's oscillate. ##C_{n}## is lower than all of them except the first ##n-1##. ##C_{n+1}## is lower than all of them except one less so that one removed might be very low.
 
Oh! Now I got it, because I was thinking that Cn's can overlap or surpass the Xn+1's and vice versa... Thanks!
 

Similar threads

  • · Replies 3 ·
Replies
3
Views
4K
  • · Replies 5 ·
Replies
5
Views
3K
  • · Replies 2 ·
Replies
2
Views
3K
  • · Replies 2 ·
Replies
2
Views
3K
  • · Replies 3 ·
Replies
3
Views
2K
  • · Replies 5 ·
Replies
5
Views
5K
  • · Replies 1 ·
Replies
1
Views
4K
Replies
1
Views
1K
  • · Replies 1 ·
Replies
1
Views
3K
  • · Replies 12 ·
Replies
12
Views
2K