Really complex function to integrate

Click For Summary

Discussion Overview

The discussion revolves around the challenges of integrating a complex function involving multiple variables and constants. Participants explore software options for symbolic integration, simplifications of the integral, and potential approximations for the exponential function within a specific interval.

Discussion Character

  • Exploratory
  • Technical explanation
  • Mathematical reasoning

Main Points Raised

  • One participant is seeking software capable of handling a complex integral that has proven difficult for MathCAD and Maple.
  • Another participant has attempted to simplify the integral by factoring out constants and using an approximation for the exponential function, while changing the integration interval for validity.
  • A specific integral expression is presented, but it remains unresolved whether Mathematica can integrate it due to the complexity of the denominator.
  • Clarification is provided regarding the notation used in the integral, emphasizing the importance of the denominator related to the ideal gas law.
  • One participant proposes approximating the exponential function with a polynomial to facilitate an analytical solution, mentioning a linear approximation with a specified error margin.
  • A request is made for a polynomial expression to approximate a specific function, indicating a need for a valid approximation method.

Areas of Agreement / Disagreement

Participants express differing views on the methods of integration and approximation, with no consensus reached on the best approach or the capabilities of the software mentioned.

Contextual Notes

Limitations include the complexity of the integral, the dependence on specific approximations, and the unresolved nature of the mathematical steps involved in the integration process.

womfalcs3
Messages
60
Reaction score
5
Hello,

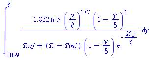
I have a really complex function to integrate (not homework), and I was wondering if there is any software application that can handle it.

I have tried MathCAD and Maple, but both can't perform it. I don't think I can do it by hand, with all the integration by parts and expansions I would have to go through.

I would also have to go at it term by term once expanded. (The numerator expands to 5 terms.)

Here is the integral:

23m06fa.jpg


u and delta are functions of x, and P, Ti, and Tinf are constants (I could take out those that can be taken out of the integrand, but it doesn't get me anywhere with the process.).


So I need a symbolic integration.
 
Physics news on Phys.org


I've worked to simplify the integral to this... taking out constants, and using an very good approximation for the exponential function below. I've also changed the interval, so that the approximation is valid.

I don't think I can do it numerically, because I can't use quadruture symbolically. I would have to plug it many data values and then fit a curve to the plot. I won't do that.

Capital delta is "Ti-Tinf".


15n7er6.jpg


The numerator is one of 5 terms I have to integrate one by one as part of the expansion.
 


[tex]\int 1.38346 P ~u ~e^{-25 y/8}~ \left(1-\frac{y}{8}\right)^3~ \sqrt[7]{y}~ \text{dy} =[/tex]

[tex]-\frac{0.00270207 P u \left(0.32 e^{3.125 y} (y-9.68055) y \left(y^2-15.3252 y+60.7908\right)+22.8611 (-y)^{6/7} \Gamma<br /> (0.142857,-3.125 y)\right)}{y^{6/7}}[/tex]

on the other hand with a sum in the denominator not mathematica doesn't integrate it
 
Last edited:


Thanks Ice, but the symbol isn't an "8", but rather a small-case delta, which is a function of x. Also, the denominator is imperative, because I'm integrating the product of velocity and the ideal gas law set equal to density.

Density = P/(R*T)

So I need the denominator.
 


I'm thinking I have to approximate the expenonetial function using a polynomial for the small interval. Since I need an analytial method of solution.

I already have a linear function that can be within 20% error.


Is there a good polynomial expression (Where the power is 1 or larger for all powers in the function.) to approximate:

f(y)=(1-y1/7)2

?
 

Similar threads

  • · Replies 3 ·
Replies
3
Views
2K
  • · Replies 11 ·
Replies
11
Views
3K
  • · Replies 3 ·
Replies
3
Views
3K
  • · Replies 8 ·
Replies
8
Views
4K
  • · Replies 10 ·
Replies
10
Views
3K
  • · Replies 2 ·
Replies
2
Views
2K
  • · Replies 1 ·
Replies
1
Views
2K
  • · Replies 4 ·
Replies
4
Views
2K
  • · Replies 1 ·
Replies
1
Views
2K
  • · Replies 1 ·
Replies
1
Views
3K