Reason out the cross product (for the moment): a skew symmetric form

Click For Summary

Discussion Overview

The discussion revolves around the reasoning behind the skew symmetric form of the cross product in three-dimensional space, particularly in relation to its application in calculating moments and angular momentum. Participants explore both geometric and algebraic interpretations of the cross product, including its representation as a skew symmetric matrix and its connection to anti-symmetric tensors.

Discussion Character

  • Exploratory
  • Technical explanation
  • Conceptual clarification
  • Debate/contested

Main Points Raised

  • Some participants discuss the traditional definition of the cross product, emphasizing its geometric interpretation involving magnitudes and angles.
  • Others propose that the skew symmetric matrix representation of the first vector can yield the same information as the traditional cross product, though they seek a deeper reasoning for this equivalence.
  • A participant mentions the relationship between vectors and anti-symmetric tensors, suggesting that every vector corresponds to such a tensor.
  • Some contributions reference the Hodge dual and the geometrical interpretation of the wedge product as a directed parallelogram, although this does not directly address the original inquiry.
  • Several participants express uncertainty about the specific question being asked, indicating a potential lack of clarity in the original post.
  • One participant attempts to clarify their question by relating it to the need for understanding the components involved in calculating moments, including force, distance, and angle.

Areas of Agreement / Disagreement

Participants do not reach a consensus on the reasoning behind the skew symmetric form's utility in the cross product. Multiple competing views and interpretations are presented, and the discussion remains unresolved regarding the specific conceptual understanding sought by the original poster.

Contextual Notes

Some participants express confusion about the content of a referenced video, indicating that it may not fully address the reasoning behind the skew symmetric form. Additionally, there are unresolved aspects regarding the relationship between angular momentum and the skew symmetric representation.

Trying2Learn
Messages
375
Reaction score
57
TL;DR
Skew symmetric form of cross product
I am sure you are all familiar with the cross product in 3D space.

i cross into j gives k.
Cyclic
Negative, if reversed, etc.

I am sure you are all familiar with the definition as: norm of the first vector, norm of the second, sine of the angle, perpendicular (but direction using right hand rule)

Sure, no problem.

And we can apply to the Moment = Distance cross Force.

And I can reason my way through why the geometric rule with the sine is justified, and, if the space is Euclidean, how we get the cyclic rule, above, too!

All fine.

But there is another way, as (I am sure) you all know.

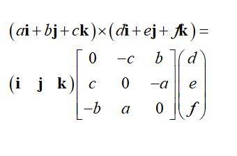
Take the first vector in the cross product and use the components to form a skew symmetric matrix with positive determinant.

OK...

Has anyone ever "reasoned" their way as to why this skew symmetric matrix, times the column components of the second vector can give the same information as the traditional cross product?

I attach a picture, because I am not good with the equation writer here.

You see, I can reason out the trig-based operation (sine of the distance, magnitudes, etc, but I cannot reason out why this works... I can only say it is isomorphic to the traditional way of i cross j gives k.
 

Attachments

  • Cross.JPG
    Cross.JPG
    7.3 KB · Views: 291
Physics news on Phys.org
I think your answer is in this video:
 
But that video only speaks about the determinant. Unless I am confused as to the video (I could be), that does not mention (or reason) how the skew symmetric form of the first vector can be used to compute the cross product.

IT only mentions building BOTH vectors into ONE matrix, with the top row as the components: and I understand that.

I am looking for a "reasoning" as to why the skew symmetric form of the first vector can lead to the cross product. RIght now, I use my reasoning for the MOMENT of a force and the Trig rule for the cross product and then just say to myself: "the skew symmetric form implements THAT." And then I reason why THAT OLD Form gives the moment.
 
It's true, and arises because every vector is dual to an anti-symmetric tensor. Recall:\begin{align*}
(\mathbf{a} \times \mathbf{b})_i &= \epsilon_{ijk} a_j b_k \\
&\equiv A_{ik} b_k
\end{align*}with ##A_{ik} \equiv \epsilon_{ijk} a_j##. It's an antisymmetric matrix and its entries are ##A_{11} = 0##, then ##A_{12} = \epsilon_{132} a_3 = -a_3##, et cetera.
 
Trying2Learn said:
But that video only speaks about the determinant. Unless I am confused as to the video (I could be), that does not mention (or reason) how the skew symmetric form of the first vector can be used to compute the cross product.
You are right, in my memory there was more going on in that video... :)
 
ergospherical said:
It's true, and arises because every vector is dual to an anti-symmetric tensor. Recall:\begin{align*}
(\mathbf{a} \times \mathbf{b})_i &= \epsilon_{ijk} a_j b_k \\
&\equiv A_{ik} b_k
\end{align*}with ##A_{ik} \equiv \epsilon_{ijk} a_j##. It's an antisymmetric matrix and its entries are ##A_{11} = 0##, then ##A_{12} = \epsilon_{132} a_3 = -a_3##, et cetera.
That, too, I understand.

I am so sorry if I am not making this clear.

I am trying to find a way to "reason out" (perhaps with pictures), why I can use the skew symmetric form in the cross product.

In other words, If I want the moment of a force, I can say this: "The length of the first vector, times the length of the second, times the perpendicular moment arm (thus the sine function). Then, using Euclidean space, I can turn the operation into words like "i cross j is k."

But I am UNABLE to BEGIN with the skew symmetric form and reason out, with pictures, why that works to give a useful operation for the moment.
 
In terms of the exterior algebra ##\Lambda \mathbf{R}^3## over ##\mathbf{R}^3##, the cross product of two vectors ##\mathbf{a} \times \mathbf{b}## is the Hodge dual (##\star : \Lambda^p \mathbf{R}^3 \rightarrow \Lambda^{3-p} \mathbf{R}^3##) of the bivector ##\mathbf{a} \wedge \mathbf{b}##, i.e. ##\mathbf{a} \times \mathbf{b} = \star (\mathbf{a} \wedge \mathbf{b})##. The geometrical interpretation of ##\mathbf{a} \wedge \mathbf{b}## is a directed parallelogram!
 
ergospherical said:
In terms of the exterior algebra ##\Lambda \mathbf{R}^3## over ##\mathbf{R}^3##, the cross product of two vectors ##\mathbf{a} \times \mathbf{b}## is the Hodge dual (##\star : \Lambda^p \mathbf{R}^3 \rightarrow \Lambda^{3-p} \mathbf{R}^3##) of the bivector ##\mathbf{a} \wedge \mathbf{b}##, i.e. ##\mathbf{a} \times \mathbf{b} = \star (\mathbf{a} \wedge \mathbf{b})##. The geometrical interpretation of ##\mathbf{a} \wedge \mathbf{b}## is a directed parallelogram!
And that, too, I am aware of, but is not what I am looking for.

I wonder if what I am looking for is much simpler than I am explaining.

Here, I tried typing this picture. This is the best justification I can make.

It is a planar issue, but when I extend this reasoning to 3 dimensions I can "reason" my way as to why the skew symmetric form leads to an angular momentum.

But this is the best I can come up with. Has anyone reasoned out how "the skew symmetric form of the first vector's components, times the column of the second vector gives (this could be where my question confused everyone and I apologize for that -- previously I wrote "gives the cross product, but now I will write) "gives meaningful information."
 

Attachments

  • cross2.JPG
    cross2.JPG
    43.5 KB · Views: 260
I'm still not sure what the question is. Do you mean why the angular momentum is what it is? It's because it's by definition the conserved quantity corresponding to symmetry under infinitesimal rotation ##\delta x^i = \epsilon_{ijk} (\delta \theta)_j x_k## where ##(\delta \theta)_j## is taken to be arbitrary. Under this symmetry transformation the Lagrangian varies like
\begin{align*}
\delta L = \frac{\partial L}{\partial x^i} \delta x^i + \frac{\partial L}{\partial \dot{x}^i} \delta \dot{x}^i &= \left(\frac{d}{dt} \frac{\partial L}{\partial \dot{x}^i} \right) \delta x^i + \frac{\partial L}{\partial \dot{x}^i} \delta \dot{x}^i = \frac{d}{dt} \left(\frac{\partial L}{\partial \dot{x}^i} \delta x^i \right)
\end{align*}and putting ##\delta L = 0## means ##\frac{d}{dt} \left(\frac{\partial L}{\partial \dot{x}^i} \delta x^i \right) = (\delta \theta)_j \frac{d}{dt} (\epsilon_{ijk} x_k p_i)##, or in other words this thing ##\epsilon_{ijk} x_j p_k \equiv L_i## (permuting the indices a bit) is constant. And we already discussed that in 3-dimensional space, ##L_i = \frac{1}{2} \epsilon_{ijk} L_{jk}## is dual to a two-index object ##L_{ij}##.
 
  • #10
ergospherical said:
I'm still not sure what the question is. Do you mean why the angular momentum is what it is? It's because it's by definition the conserved quantity corresponding to symmetry under infinitesimal rotation ##\delta x^i = \epsilon_{ijk} (\delta \theta)_j x_k## where ##(\delta \theta)_j## is taken to be arbitrary. Under this symmetry transformation the Lagrangian varies like
\begin{align*}
\delta L = \frac{\partial L}{\partial x^i} \delta x^i + \frac{\partial L}{\partial \dot{x}^i} \delta \dot{x}^i &= \left(\frac{d}{dt} \frac{\partial L}{\partial \dot{x}^i} \right) \delta x^i + \frac{\partial L}{\partial \dot{x}^i} \delta \dot{x}^i = \frac{d}{dt} \left(\frac{\partial L}{\partial \dot{x}^i} \delta x^i \right)
\end{align*}and putting ##\delta L = 0## means ##\frac{d}{dt} \left(\frac{\partial L}{\partial \dot{x}^i} \delta x^i \right) = (\delta \theta)_j \frac{d}{dt} (\epsilon_{ijk} x_k p_i)##, or in other words this thing ##\epsilon_{ijk} x_j p_k \equiv L_i## (permuting the indices a bit) is constant. And we already discussed that in 3-dimensional space, ##L_i = \frac{1}{2} \epsilon_{ijk} L_{jk}## is dual to a two-index object ##L_{ij}##.
Foremost: thank you for your continued patience as I try to explain my issue...

Let me try this...

There is a need, in say, statics, (does not have to be angular momentum) to keep track of this information:
  1. the force and its magnitude
  2. the distance to the force from some origin (its magnitude)
  3. The angle between the distance and the force
The trig/geometric definition (Let me call this: IMPLEMENTATION 1) of the cross product satisfies this need:
  • norm of the first
  • norm of the second
  • sine of the angle between and
  • the plane in which they act (the perpendicular vector)

From that, in Euclidean space, I can derive the other algebraic implementation:
i cross j = k (cyclic, right hand rule, etc.)
But let me call that: IMPLEMENTATION 2Now I do not like IMPLEMENTATION 2. The use of the skew symmetric form of the first vector, times the column of the second, is easier to code. Let me call this: IMPLEMENTATION 3

However, I must then make an isomorphic map between IMPLEMENTATION 2 and 3.

I would prefer to go DIRECTLY to implementation 3 without the reasoning used to get implementation 1.

That is the best way I can say it
 
  • #11
So, if you do part of the matrix manipulation you just get:
$$
\bar v \times \bar w = [\hat i \ \hat j \ \hat k] \begin{bmatrix} w_3 v_2 -w_2 v_3 \\ w_1 v_3 - v_1 w_3 \\ w_2 v_1 - w_1 v_2 \end{bmatrix}
$$
Are you simply asking why the terms in the right matrix look the way they do? Because these are just the terms for a cross product, which you will only get by using the skew symmetric matrix. The closest I can come for this is showing you this video (which is the one I wanted to link to in my first post):

 
  • #12
Arjan82 said:
So, if you do part of the matrix manipulation you just get:
$$
\bar v \times \bar w = [\hat i \ \hat j \ \hat k] \begin{bmatrix} w_3 v_2 -w_2 v_3 \\ w_1 v_3 - v_1 w_3 \\ w_2 v_1 - w_1 v_2 \end{bmatrix}
$$
Are you simply asking why the terms in the right matrix look the way they do? Because these are just the terms for a cross product, which you will only get by using the skew symmetric matrix. The closest I can come for this is showing you this video (which is the one I wanted to link to in my first post):


Close... really close

But you wrote this: "Because these are just the terms for a cross product, which you will only get by using the skew symmetric matrix"

My issue is this. I want to reason out that form WITHOUT referring to the traditional terms of the cross product... And I want to reason it for Moments and Angular momentum.

And again: THANK YOU for your ongoing patience. Half my problem is my inability to ask the question.

In other words: look at my simple attempt in the second picture I posted. Maybe that is really all I can say.
 
  • #13
Trying2Learn said:
I would prefer to go DIRECTLY to implementation 3 without the reasoning used to get implementation 1.
I'm not sure what you are referring to. Deriving the angular momentum? A rotation is a matrix ##R_{ij}##, and more than that it's an orthogonal matrix ##R^T R = I## since it must preserve lengths:\begin{align*}
\mathbf{x}'^T \mathbf{x}' = (R \mathbf{x})^T R \mathbf{x} = \mathbf{x}^T R^T R \mathbf{x} \equiv \mathbf{x}^T \mathbf{x}
\end{align*}Consider an infinitesimal rotation with ##R_{ij} = \delta_{ij} + r_{ij}##, where the ##r_{ij}## is "small". The requrement of length-preservation means, to first order, that
\begin{align*}
(\delta^T_{ij} + r^T_{ij})(\delta_{jk} + r_{jk}) &= \delta_{ik} \\
(\delta_{ji} + r_{ji})(\delta_{jk} + r_{jk}) &= \delta_{ik} \\
r_{ki} + r_{ik} &= 0
\end{align*}i.e. that ##r_{ij}## is antisymmetric. Consider again the symmetry transformation ##x_i '= R_{ij} x_j = x_i + r_{ij} x_j##, or equivalently ##\delta x_i = r_{ij} x_j##, then from the same variational argument as in post #9 we have \begin{align*}
\frac{d}{dt} \left(\frac{\partial L}{\partial \dot{x}_i} \delta x_i \right)&= r_{ij} \frac{d}{dt} (p_i x_j) \\
&= \frac{1}{2} r_{ij} \frac{d}{dt} (p_i x_j - p_j x_i)
\end{align*}due to the anti-symmetry of ##r_{ij}##, and finally you invoke the arbitrariness of ##r_{ij}## to conclude that the two-index object ##x_i p_j - x_j p_j## is conserved.
 
Last edited:
  • #14
ergospherical said:
I'm not sure what you are referring to. Deriving the angular momentum? A rotation is a matrix ##R_{ij}##, and more than that it's an orthogonal matrix ##R^T R = I## since it must preserve lengths:\begin{align*}
\mathbf{x}'^T \mathbf{x}' = (R \mathbf{x})^T R \mathbf{x} = \mathbf{x}^T R^T R \mathbf{x} \equiv \mathbf{x}^T \mathbf{x}
\end{align*}Consider an infinitesimal rotation with ##R_{ij} = \delta_{ij} + r_{ij}##, where the ##r_{ij}## is "small". The requrement of length-preservation means, to first order, that
\begin{align*}
(\delta^T_{ij} + r^T_{ij})(\delta_{jk} + r_{jk}) &= \delta_{ik} \\
(\delta_{ji} + r_{ji})(\delta_{jk} + r_{jk}) &= \delta_{ik} \\
r_{ki} + r_{ik} &= 0
\end{align*}i.e. that ##r_{ij}## is antisymmetric. Consider again the symmetry transformation ##x_i = R_{ij} x_j = x_i + r_{ij} x_j##, or equivalently ##\delta x_i = r_{ij} x_j##, then from the same variational argument as in post #9 we have \begin{align*}
\frac{d}{dt} \left(\frac{\partial L}{\partial \dot{x}_i} \delta x_i \right)&= r_{ij} \frac{d}{dt} (p_i x_j) \\
&= \frac{1}{2} r_{ij} \frac{d}{dt} (p_i x_j - p_j x_i)
\end{align*}due to the anti-symmetry of ##r_{ij}##, and finally you invoke the arbitrariness of ##r_{ij}## to conclude that the two-index object ##x_i p_j - x_j p_j## is conserved.
I follow all of that.

However, let's say you are teaching undergraduate students, STATICS.

You arrive at the need to discuss the MOMENT of a force.

You apply the trig formula rule and reason your way that it is useful.

Now make the same argument, to undergraduates, on why using the skew symmetric form, is useful.

That is all I am looking for: a way to abandon the old cross product and its "i cross j, is k" rule
 
  • #15
So, if I assume that you understand the relation between the cross product and the determinant, than what you are asking is the 3D equivalent of this? That's hard :)
1641318202776.png
 
  • Like
Likes   Reactions: suremarc

Similar threads

  • · Replies 1 ·
Replies
1
Views
2K
Replies
5
Views
5K
  • · Replies 5 ·
Replies
5
Views
3K
  • · Replies 11 ·
Replies
11
Views
4K
  • · Replies 7 ·
Replies
7
Views
3K
  • · Replies 4 ·
Replies
4
Views
3K
  • · Replies 22 ·
Replies
22
Views
5K
Replies
21
Views
4K
  • · Replies 7 ·
Replies
7
Views
6K
  • · Replies 9 ·
Replies
9
Views
2K