Reduction of order in solving second order differential equations

  • Context: Undergrad 
  • Thread starter Thread starter chwala
  • Start date Start date
  • Tags Tags
    Reduction
Click For Summary

Discussion Overview

The discussion revolves around the process of reduction of order in solving second order differential equations, specifically addressing the treatment of constants in the general solution. Participants explore the implications of dropping or substituting constants during the solution process.

Discussion Character

  • Technical explanation
  • Mathematical reasoning

Main Points Raised

  • One participant questions why a constant is dropped when determining solutions, suggesting that keeping the constant is equivalent to adjusting an arbitrary constant in the general solution.
  • Another participant notes that substituting a specific value for a constant does not equate to dropping it, but rather assigning it a value for convenience.
  • There is a proposal that keeping certain constants could simply adjust the values of other arbitrary constants in the general solution, indicating that such simplifications are common with practice in solving differential equations.

Areas of Agreement / Disagreement

Participants express differing views on the treatment of constants, with no consensus reached regarding the necessity or implications of dropping constants in the solution process.

Contextual Notes

The discussion highlights assumptions about the role of arbitrary constants in the general solution of second order differential equations, but does not resolve the implications of these assumptions.

chwala
Gold Member
Messages
2,840
Reaction score
428
TL;DR
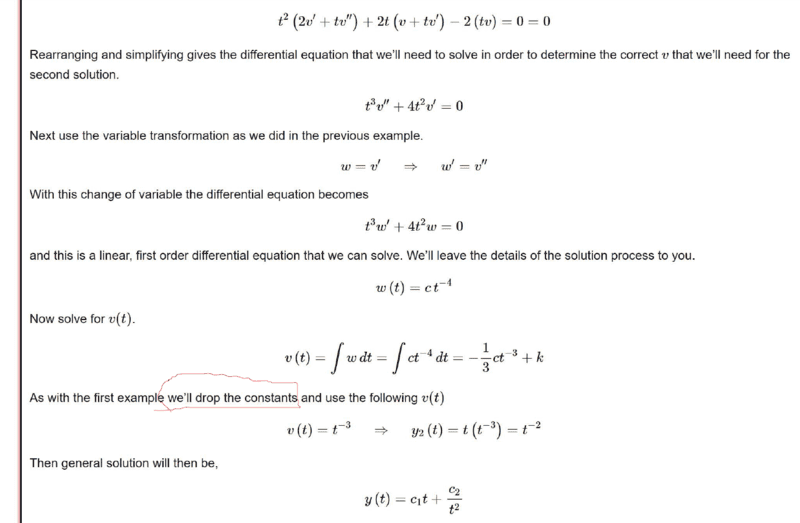
Why is the constant dropped when determining solutions to second order differential equations. (See highlight in red -attached). Otherwise, the reduction of order approach is pretty straightforward.
1704254060434.png
 
Physics news on Phys.org
chwala said:
TL;DR Summary: Why is the constant dropped when determining solutions to second order differential equations. (See highlight in red -attached). Otherwise, the reduction of order approach is pretty straightforward.

View attachment 338047
Because keeping ##k## is the same thing as adjusting the value of the arbitrary constant ##c_1## in the general solution?
 
  • Like
Likes   Reactions: chwala
renormalize said:
Because keeping ##k## is the same thing as adjusting the value of the arbitrary constant ##c_1## in the general solution?
Thanks noted...was wondering why they substituted for the constant ##c=-3## and dropped the other constant ##k##. The constant ##c## was not dropped as indicated rather a value was assigned to it. .

Is this not for convenience? to perhaps have " nice solutions'.

Cheers man.
 
Last edited:
chwala said:
Thanks noted...was wondering why they substituted for the constants ##c=-3## and dropped ##k##. The constant ##c## was not dropped as indicated rather a value was assigned to it. .
Just like keeping ##k## amounts to redefining ##c_1##, wouldn't keeping ##-c/3## simply adjust the value of the arbitrary constant ##c_2##? These are the types of simplifications that come naturally once you're practiced enough solving differential questions. When solving a 2nd-order ODE, as long as you're left in the end with two arbitrary constants, you know you've found the general solution.
 
  • Like
Likes   Reactions: chwala

Similar threads

  • · Replies 2 ·
Replies
2
Views
4K
  • · Replies 7 ·
Replies
7
Views
4K
  • · Replies 1 ·
Replies
1
Views
3K
  • · Replies 2 ·
Replies
2
Views
4K
  • · Replies 6 ·
Replies
6
Views
2K
  • · Replies 2 ·
Replies
2
Views
3K
  • · Replies 2 ·
Replies
2
Views
3K
  • · Replies 7 ·
Replies
7
Views
2K
  • · Replies 7 ·
Replies
7
Views
3K
  • · Replies 1 ·
Replies
1
Views
3K