Resonant frequency of a circuit

Click For Summary
SUMMARY

The discussion centers on calculating the resonant frequency of a circuit, where the user initially calculated 108 rad/s, but the provided solution states it should be 104 rad/s. The error was identified as a misunderstanding of how to handle the impedance; specifically, the imaginary part of the impedance must be set to zero at resonance, not the entire equation. After clarification, the user successfully resolved the issue.

PREREQUISITES
  • Understanding of circuit impedance
  • Knowledge of resonant frequency concepts
  • Familiarity with complex numbers in electrical engineering
  • Ability to solve equations involving imaginary components
NEXT STEPS
  • Study the concept of impedance in RLC circuits
  • Learn about the conditions for resonance in electrical circuits
  • Explore the use of complex numbers in circuit analysis
  • Review methods for calculating resonant frequency in various circuit configurations
USEFUL FOR

Electrical engineers, circuit designers, students studying circuit theory, and anyone involved in analyzing resonant circuits.

gfd43tg
Gold Member
Messages
949
Reaction score
48
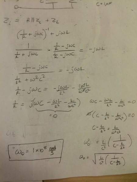
Hello, I am working on this circuit to find the resonant frequency.
ImageUploadedByPhysics Forums1398753368.063181.jpg


I calculate 10^8 rad/s, but the solution says it's 10^4 rad/s. Here is my work. I just solved for the equivalent impedance, and then separated the j term and solved for the inside of the parenthesis to be equal to zero.

ImageUploadedByPhysics Forums1398753450.226063.jpg


Am I wrong or the solution?
Thank you
 
Last edited:
Physics news on Phys.org
Hey, you should make imaginary part of impedance zero not the whole equation because at resonance the circuit will be purely resistive ...impedance doesnot equal zero
 
  • Like
Likes   Reactions: 1 person
Thank you very much, I solved it now!
 

Similar threads

  • · Replies 27 ·
Replies
27
Views
4K
  • · Replies 21 ·
Replies
21
Views
2K
  • · Replies 6 ·
Replies
6
Views
4K
  • · Replies 40 ·
2
Replies
40
Views
7K
  • · Replies 3 ·
Replies
3
Views
2K
  • · Replies 14 ·
Replies
14
Views
6K
  • · Replies 8 ·
Replies
8
Views
3K
  • · Replies 6 ·
Replies
6
Views
4K
  • · Replies 3 ·
Replies
3
Views
5K
  • · Replies 12 ·
Replies
12
Views
4K