Roulette Prediction Algorithm Problem

  • Context: Undergrad 
  • Thread starter Thread starter shlomi123
  • Start date Start date
  • Tags Tags
    Algorithm Prediction
Click For Summary

Discussion Overview

The discussion revolves around a roulette prediction algorithm, specifically focusing on the formula used to calculate the trim time of a ball in a roulette wheel. Participants explore the mathematical and physical principles involved, including unit consistency, angular versus linear measurements, and the implications of their calculations.

Discussion Character

  • Technical explanation
  • Mathematical reasoning
  • Debate/contested

Main Points Raised

  • One participant presents a formula for calculating trim time based on various parameters, including ball velocity and acceleration.
  • Another participant questions the unit consistency in the calculations, noting discrepancies in expected units.
  • A suggestion is made that all angles should be in radians, and that linear velocity and acceleration need to be converted to angular measurements.
  • After adjusting for radians, a participant shares revised calculations but expresses dissatisfaction with the results, stating that the expected trim time should be significantly longer.
  • Concerns are raised about the acceleration value used in the calculations, with a participant proposing that it may be incorrectly estimated.
  • A participant calculates the ball's position and angle after a certain time, questioning the meaning of the resulting angle in radians.
  • Another participant speculates on the implications of the calculated angle in terms of the ball's orbit around the wheel.
  • Further clarification is sought regarding the definition of the x-axis and the starting angle for the ball's orbit.
  • A mentor provides a note on the reference frame for measuring the angle, indicating that the choice of zero angle is flexible as long as it is consistently applied.

Areas of Agreement / Disagreement

Participants express differing views on the accuracy of the calculations and the assumptions made regarding parameters such as acceleration and initial conditions. The discussion remains unresolved with multiple competing interpretations of the algorithm and its application.

Contextual Notes

There are limitations regarding the assumptions made about the parameters used in the calculations, particularly concerning the definitions of velocity and acceleration in both linear and angular contexts. The discussion also highlights the need for clarity on the reference points for angle measurements.

shlomi123
Messages
8
Reaction score
0
The roulette prediction algorithm is described here: http://pingless.co.il/roulette.pdf

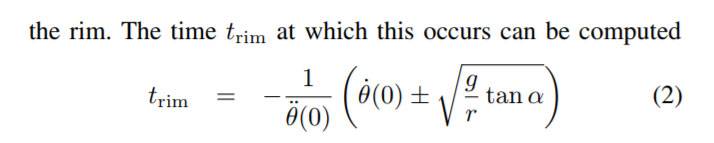
And I have a problem with the formula attached
eq2.jpg

Where teta θ is position, velocity and acceleration of the ball. g is garvity force. r is the ball radius from center of the roulette. a is stator incline.
According to my calculations:
TrimCoefficient = -1/-34.13 Inch/Sec^2
ballVelocity = 120 Inch/Sec
Gravity = 386.09 Inch/Sec^2
Rrim = 14 Inches
statorIncline = (28/180)*3.14;
Trim = TrimCoefficient*(ballVelocity+math.sqrt( (Gravity/Rrim)*math.tan(statorIncline) ));
I get Trim=3.6 and it should be as I think (if you count from the start if the ball spin) Trim=18 at least.
 

Attachments

  • eq2.jpg
    eq2.jpg
    9.8 KB · Views: 484
  • eq2.jpg
    eq2.jpg
    9.8 KB · Views: 1,064
Physics news on Phys.org
And also if someone can help me to solve why the units don't fit
If you substitute all the units you get -S^2/I*(I/S + 1/S) = S+S/I
And it should be seconds only why you get +S/I
 
Angles should all be in radians.
##\dot\theta## should be in radians per second, but you're using a value in inches per second. And similarly for ##\ddot\theta##, it should be in radians/s^2 but you're using inches per second squared.

Since I suspect you are using linear velocity and linear acceleration at the rim, I think you need to divide by the radius to get the corresponding angular velocity and acceleration.
 
  • Like
Likes   Reactions: berkeman
Hey thank you for your note,
this is my calculations after the radians / sec change:
Rrim = 14
TrimCoefficient = -1/(-30/Rrim)
print("TrimCoeff: "+str(TrimCoefficient))
ballVelocity = 88/Rrim
print("ballVelocity: "+str(ballVelocity))
# (65 - 88) / (1.36 - 1)
Gravity = 386.09
statorIncline = (28/180)*3.14;
Trim = TrimCoefficient*(ballVelocity+math.sqrt( (Gravity/Rrim)*math.tan(statorIncline) ));
print("Trim Trials: "+str(Trim))

and the result are:
TrimCoeff: 0.4666666666666667
ballVelocity: 6.285714285714286
Trim Trials: 4.719797943795565
 
Your original velocity and acceleration were 120 and -34.13, respectively. In your new calculation you are using 88 and -30. I assume you really did intend to work the calculation with different parameters the second time?

That formula seems to be the correct implementation of the one you quoted. Are you happy with the results?
 
Hey thank you, but I'm not happy from the results, Trim should be 18 as you can count from this movie
Because Trim is the time the ball is falling from the rim it completes about 11 circles and it takes 18 seconds and the formula says it takes only 4.7 seconds
What else could be wrong here
 
Hey I think the acceleration is wrong because -30 inch/sec should stop the ball at speed 90 inch/ sec in 3 seconds do you agree? So the actual acceleration should be -5-10 inch / sec
 
https://www.physicsforums.com/attachments/xxcc-jpg.232282/
This equation for the ball position of the roulette game taken from here: http://pingless.co.il/images/APCCAS08.pdf#page=3

This is my result:
Rrim = 14
ballPosition = (30/180)*3.14
ballVelocity = 88/Rrim (Convert inch/sec to rad/sec)
ballAcceleration = -8/Rrim (Convert inch/sec to rad/sec)
Tdefl = 18
ballAngle = float(ballPosition) + (ballVelocity*Tdefl) + 0.5*(ballAcceleration*Tdefl*Tdefl)
ballAngle = 21 Radians
What should 21 Radians mean?
 
Last edited:
My guess is that the 21 radians means that the ball has orbited the wheel 3.34225 times. If its starting point was 0 degrees N then it would be ~123 degrees to the left of 0 degrees when it stopped.
 
  • #10
Hey but actually it's not make sense the ball orbited the wheel only 3.34 times it should orbit 11 times and more as you can see from this movie:
 
  • #11
Duplicate thread closed for Moderation...
 
  • #12
Threads merged and re-opened. @shlomi123 -- Please do not start multiple threads on the same subject. Thank you.
 
  • #13
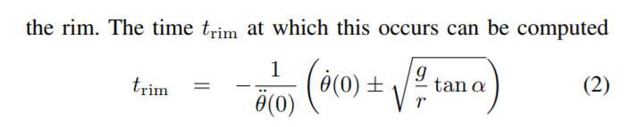
Hey I still have a problem with this formula
FORM1.jpg

Which is from here: http://pingless.co.il/roulette.pdf#page=3

(1) I don't know from where in the wheel I should put the x-axis (zero angle) and (2) I don't know to define the θ(0) where the ball starts the orbit, please help me.

<< Mentor Note -- post edited to remove inappropriate content >>
 

Attachments

  • FORM1.jpg
    FORM1.jpg
    2.5 KB · Views: 490
Last edited by a moderator:
  • #14
As I read the initial graphic on that link, ##\theta## is the angle of the ball from the center of the wheel as reckoned in non-rotating coordinates. It does not matter what angle you take as ##\theta(0)## as long as you measure both starting and ending position using the same reference.