Rounding to the correct decimal place

  • Thread starter Thread starter aron silvester
  • Start date Start date
Click For Summary
SUMMARY

The discussion focuses on the rounding of average and standard deviation in a physics experiment measuring the time it takes for a ball to drop. It is established that while the average should be rounded to two significant digits, the standard deviation should be rounded to the nearest thousandth. Specifically, a standard deviation of 0.0798 rounds to 0.080, ensuring that the significant figures are maintained while adhering to the correct decimal place format.

PREREQUISITES
  • Understanding of significant figures in measurements
  • Basic knowledge of statistical concepts such as average and standard deviation
  • Familiarity with rounding rules in mathematics
  • Experience with experimental data collection and analysis
NEXT STEPS
  • Learn about significant figures and their importance in scientific reporting
  • Study the calculation and rounding of standard deviation in statistical analysis
  • Explore the differences between fixed format and scientific notation in data presentation
  • Investigate best practices for reporting experimental results in physics
USEFUL FOR

Students in physics or statistics, educators teaching measurement and data analysis, and researchers involved in experimental design and reporting.

aron silvester
1. The problem statement, all variables, and given/known data
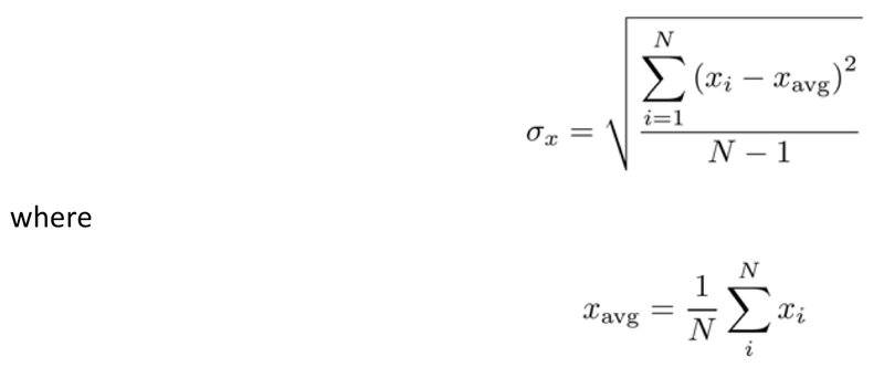
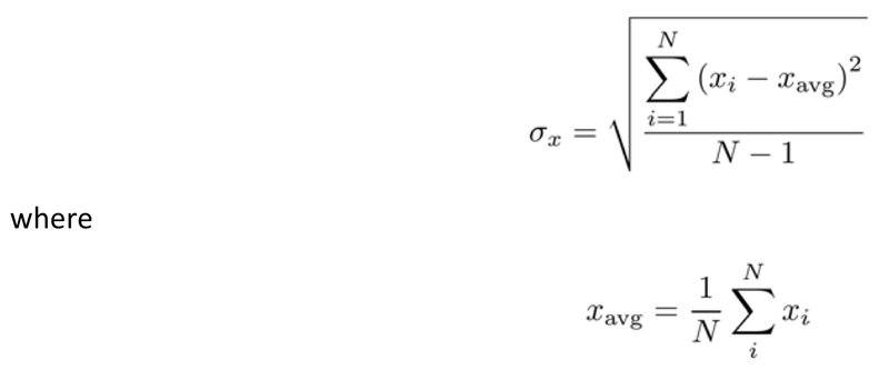
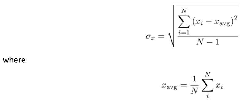
This is an experiment of dropping the ball 5 times at eye level, and we record the seconds that it takes the ball to hit the ground in seconds. The second's measurement has two digits after the decimal. Should the Average and Standard Deviation be rounded to the nearest hundredths place as well?


Homework Equations


20170911_172712000_iOS.jpg

The Attempt at a Solution

[/B]
20170911_171853000_iOS.jpg
 
Physics news on Phys.org
aron silvester said:
1. The problem statement, all variables, and given/known data
This is an experiment of dropping the ball 5 times at eye level, and we record the seconds that it takes the ball to hit the ground in seconds. The second's measurement has two digits after the decimal. Should the Average and Standard Deviation be rounded to the nearest hundredths place as well?
Both should be rounded to two significant digits, which isn't necessarily the same as rounding to the nearest hundredths. For your computed average these will be the same, but for your std. dev., you should round to the nearest thousandth. I.e., .0798 will round to .080, with the 8 digit and the last 0 digit being significant digits.
aron silvester said:


Homework Equations


View attachment 210860

The Attempt at a Solution

[/B]
View attachment 210859
 
aron silvester said:
1. The problem statement, all variables, and given/known data
This is an experiment of dropping the ball 5 times at eye level, and we record the seconds that it takes the ball to hit the ground in seconds. The second's measurement has two digits after the decimal. Should the Average and Standard Deviation be rounded to the nearest hundredths place as well?


Homework Equations


View attachment 210860

The Attempt at a Solution

[/B]
View attachment 210859

Your standard deviation is ##0.798 \times 10^{-1}##, which rounds appropriately to to ##0.80 \times 10^{-1} = 0.080##. The answer has two significant figures but three decimal places when written in fixed format instead of scientific format.
 

Similar threads

  • · Replies 5 ·
Replies
5
Views
4K
  • · Replies 4 ·
Replies
4
Views
3K
  • · Replies 3 ·
Replies
3
Views
2K
Replies
15
Views
2K
  • · Replies 3 ·
Replies
3
Views
2K
  • · Replies 7 ·
Replies
7
Views
2K
Replies
3
Views
2K
  • · Replies 23 ·
Replies
23
Views
3K
  • · Replies 6 ·
Replies
6
Views
2K
  • · Replies 14 ·
Replies
14
Views
3K