Calculating Error Bars for Height and Time in Ball Drop Experiment

  • Thread starter Thread starter aron silvester
  • Start date Start date
  • Tags Tags
    Error
Click For Summary

Homework Help Overview

The discussion revolves around calculating error bars for time measurements in a ball drop experiment, where data is collected from different heights. The original poster seeks clarification on how to compute the error bars along the X-axis, having already established the method for the Y-axis (height).

Discussion Character

  • Exploratory, Assumption checking, Conceptual clarification

Approaches and Questions Raised

  • Participants discuss methods for calculating error bars, particularly questioning the rationale behind multiplying the standard deviation by the average time for the X-axis. There is also a comparison of approaches for the Y-axis, with some participants suggesting using the standard deviation directly or a multiple of it.

Discussion Status

The discussion is ongoing, with participants exploring different methods for calculating error bars. Some guidance has been offered regarding the use of standard deviation and the need to consider the nature of the X-axis measurements, but no consensus has been reached on the correct approach.

Contextual Notes

Participants are working under the constraints of a homework assignment, which may impose specific requirements for data collection and analysis. There is uncertainty regarding the appropriate method for calculating error bars, particularly for the X-axis, which is influenced by the quadratic nature of the relationship being analyzed.

aron silvester
1. The problem statement, all variables, and given/known data
  • Take the ball and drop it from chest level 5 times recording the times and the height. Do this same procedure once again for knee, waist, and eye level. You should now have four data points for your height and four data points for the time, each with uncertainty estimates. We used the average (calculated in the Collecting data section below) of the times to plug in the t variable in the X column for each level. MY QUESTION IS, HOW DO I CALCULATE THE THE ERROR BAR ALONG THE X AXIS? I already know the error bar along the Y axis (height), my group member
IMG_1525.JPG
  • Collecting data
IMG_1524.JPG
  • Data set: Similar to Table 3
IMG_1527.JPG

Homework Equations


IMG_1527.JPG
The end goal is to plot a graph on excel that looks something like the image below. I have both the X and Y values, but I just need to figure out the error bars for the X axis.
IMG_1528.JPG
 
Physics news on Phys.org
aron silvester said:
HOW DO I CALCULATE THE THE ERROR BAR ALONG THE X AXIS?
How did you calculate them for the Y axis?
 
haruspex said:
How did you calculate them for the Y axis?
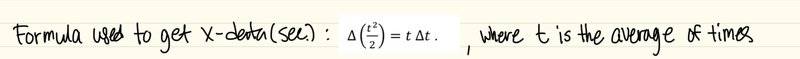
My partner just eyed the uncertainty when she measured the height (height is used as the y-axis later for the graph) from which to drop the ball. My partner said in order to get the uncertainty for the x-axis, she multiplied the standard deviation by the average times. For example, to get the error bar for the knee level she multiplied the average time for knee-level, 0.244, and multiplied it with the standard deviation of 0.0622. These measurements are recorded in the Collecting Data of my post. Does that make sense? Isn't the error bar just the standard deviation? I'm not sure why she's multiplying it by the average.
 
For Y, I would take the standard deviation, or some constant multiple of it, like 2 or 3, as the error bar length. Certainly makes no sense to multiply by the average.
But as the text says, it is a bit different for the X axis because of the quadratic term. For that you should use the same constant multiplier as you used for the Y, and multiply by the actual t reading (not the average).
 

Similar threads

  • · Replies 4 ·
Replies
4
Views
4K
Replies
14
Views
2K
  • · Replies 16 ·
Replies
16
Views
6K
  • · Replies 8 ·
Replies
8
Views
9K
  • · Replies 8 ·
Replies
8
Views
2K
  • · Replies 2 ·
Replies
2
Views
2K
  • · Replies 1 ·
Replies
1
Views
2K
Replies
5
Views
3K
  • · Replies 2 ·
Replies
2
Views
2K
Replies
6
Views
3K