Rules of Inference for Proving p→(p→q)→(p→q)

  • Context: MHB 
  • Thread starter Thread starter Yankel
  • Start date Start date
  • Tags Tags
    Rules
Click For Summary
SUMMARY

The discussion centers on proving the logical expression \[\vdash \left ( p\rightarrow \left ( p\rightarrow q \right ) \right )\rightarrow \left ( p\rightarrow q \right )\] using the L deductive system. The participant successfully filled most proof stages but struggled with the final stage, specifically identifying the rule or axiom applied. They utilized modus ponens as the only inference rule and referenced three axioms and four previously proved statements to support their proof. Ultimately, the conclusion was reached that the last stage follows from applying modus ponens to stages 3 and 6.

PREREQUISITES
  • Understanding of propositional logic and implications
  • Familiarity with the L deductive system
  • Knowledge of axioms and inference rules, particularly modus ponens
  • Ability to construct and analyze logical proofs
NEXT STEPS
  • Study the L deductive system in detail
  • Explore advanced applications of modus ponens in logical proofs
  • Learn about other inference rules and their applications in propositional logic
  • Practice constructing proofs using various axioms and rules
USEFUL FOR

Logicians, mathematics students, and anyone interested in formal proof systems and propositional logic.

Yankel
Messages
390
Reaction score
0
Hello to you all,

I am trying to prove the following:

\[\vdash \left ( p\rightarrow \left ( p\rightarrow q \right ) \right )\rightarrow \left ( p\rightarrow q \right )\]

I was given a table with the proof stages, and I had to fill the blanks. Sometimes the blanks were the rule or axiom used in this stage, and sometimes it was the result of using the rule/axiom. I filled all, but I can't figure out the last stage. More specifically, I can't figure out which rule / axiom was used in the last stage (stage 7). I have completed all other stages, and I think it's correct.

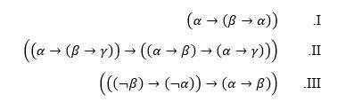
I am attaching as figures, the table of the proof, the 3 axioms I am allowed to use (I am using the L deductive system), and 4 statements which were proved already and can be used. In addition, the only inference rule is the modus ponens.

Thank you in advance for helping me complete the last stage.

View attachment 6043View attachment 6044View attachment 6045
 

Attachments

  • ax1.JPG
    ax1.JPG
    32.9 KB · Views: 175
  • ax2.JPG
    ax2.JPG
    5.6 KB · Views: 139
  • ax3.JPG
    ax3.JPG
    4.4 KB · Views: 150
Physics news on Phys.org
I think 7 follows by MP from 3 and 6.
 
I think you are correct, I didn't see it. Thank you ! (Yes)
 

Similar threads

  • · Replies 5 ·
Replies
5
Views
3K
  • · Replies 12 ·
Replies
12
Views
3K
  • · Replies 4 ·
Replies
4
Views
1K
  • · Replies 1 ·
Replies
1
Views
1K
  • · Replies 4 ·
Replies
4
Views
2K
Replies
9
Views
2K
  • · Replies 15 ·
Replies
15
Views
4K
  • · Replies 3 ·
Replies
3
Views
2K
  • · Replies 1 ·
Replies
1
Views
2K
  • · Replies 1 ·
Replies
1
Views
2K