Scale factor/redshift formula wrong at the end?

Click For Summary
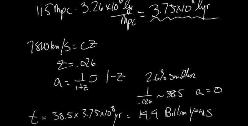
SUMMARY

The discussion centers on the professor's use of the incorrect formula for scale factor and redshift, a(t) = 1/z, instead of the correct formula a(t) = 1/(1+z). This discrepancy leads to significant differences in results when calculating the scale factor for z = 0.026, which the professor states is 2.6% smaller. Despite the confusion, the professor's final computation aligns with the expected outcome, demonstrating that while the approximation a ~ 1-z is not rigorous, it can yield correct results in this context. The discussion raises concerns about the clarity and accuracy of the professor's teaching methods.

PREREQUISITES
  • Understanding of cosmological concepts such as scale factor and redshift
  • Familiarity with the correct formula for scale factor a(t) = 1/(1+z)
  • Basic knowledge of approximations in mathematical physics
  • Ability to interpret results from cosmological calculations
NEXT STEPS
  • Research the implications of using different formulas for scale factor and redshift in cosmology
  • Study the derivation and applications of the correct formula a(t) = 1/(1+z)
  • Explore the concept of approximations in mathematical physics and their validity
  • Examine case studies where incorrect formulas led to significant misunderstandings in cosmology
USEFUL FOR

Students of cosmology, educators in physics, and anyone interested in the nuances of redshift calculations and their implications in understanding the universe.

Phys12
Messages
351
Reaction score
42
In this video:


Capture.jpg


The professor at the end (at about 7:28), used the formula for scale factor and redshift as a(t) = 1/z, instead of the actual one a(t) = 1/1+z. And when we apply both of them, they give very different results. So, how could the professor use the first formula, which we were never taught about previously and I'm inclined to think is incorrect?
 
Astronomy news on Phys.org
He's not saying that, but what he does do is confusing. He correctly computes that the scale factor for z = 0.026 is 2.6% smaller, then extrapolates that back to when the scale factor is zero, i.e., the Big Bang, by asking how many times 0.026 goes into 1.

Because he uses the approximation a ~ 1-z it's not obvious that this is rigorous, but the answer he gets is nonetheless correct.
 
DrSteve said:
He correctly computes that the scale factor for z = 0.026 is 2.6% smaller, then extrapolates that back to when the scale factor is zero, i.e., the Big Bang, by asking how many times 0.026 goes into 1.
Why would you want to find out how many times 0.026 goes into 1 to find out the scale factor?
 

Similar threads

  • · Replies 9 ·
Replies
9
Views
969
  • · Replies 5 ·
Replies
5
Views
3K
  • · Replies 6 ·
Replies
6
Views
13K
  • · Replies 2 ·
Replies
2
Views
2K
  • · Replies 17 ·
Replies
17
Views
3K
  • · Replies 13 ·
Replies
13
Views
3K
  • · Replies 6 ·
Replies
6
Views
7K
  • · Replies 5 ·
Replies
5
Views
2K
  • · Replies 11 ·
Replies
11
Views
4K
  • · Replies 7 ·
Replies
7
Views
3K