Scatter plot correlation coefficient

Click For Summary
SUMMARY

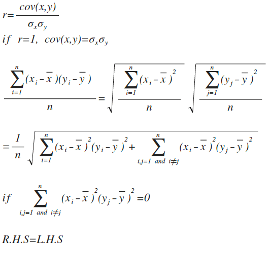
The discussion focuses on interpreting the condition "if sum of (xi-x_bar)^2(yj-y_bar)^2=0 when i≠j" in the context of scatter plot correlation coefficients. It is established that for the sum to equal zero, each individual term must also equal zero, indicating that the data points must lie on a straight line. This condition confirms the linearity of the relationship between the variables represented in the scatter plot.

PREREQUISITES
  • Understanding of scatter plot analysis
  • Familiarity with correlation coefficients
  • Knowledge of statistical terms such as mean (x_bar, y_bar)
  • Basic algebra, particularly properties of squares and sums
NEXT STEPS
  • Research the concept of linear regression and its assumptions
  • Learn about the Pearson correlation coefficient and its calculation
  • Explore the implications of linearity in statistical modeling
  • Study the properties of variance and covariance in relation to scatter plots
USEFUL FOR

Statisticians, data analysts, and students studying correlation and regression analysis will benefit from this discussion, particularly those looking to deepen their understanding of linear relationships in data visualization.

kidsasd987
Messages
142
Reaction score
4
upload_2015-10-8_17-20-37.png
how can I interpret the condition "if sum of (xi-x_bar)^2(yj-y_bar)^2=0 when i=/=j?"

why does this make the line linear?
 
Physics news on Phys.org
Since each term is squared, it is positive definite. So for the entire sum to be equal to 0, each individual term has to be 0. Does that help?
 

Similar threads

  • · Replies 13 ·
Replies
13
Views
5K
Replies
1
Views
3K
  • · Replies 1 ·
Replies
1
Views
2K
  • · Replies 3 ·
Replies
3
Views
2K
  • · Replies 58 ·
2
Replies
58
Views
7K
  • · Replies 1 ·
Replies
1
Views
2K
  • · Replies 3 ·
Replies
3
Views
2K
  • · Replies 3 ·
Replies
3
Views
1K
  • · Replies 5 ·
Replies
5
Views
2K
  • · Replies 23 ·
Replies
23
Views
4K