Separation of variables - rocket equation

Click For Summary

Discussion Overview

The discussion revolves around the derivation of Tsiolkovsky's rocket equation, specifically focusing on the application of separation of variables during the integration process. Participants seek clarification on the steps involved in this mathematical derivation.

Discussion Character

  • Exploratory, Technical explanation, Debate/contested, Mathematical reasoning

Main Points Raised

  • One participant expresses difficulty in understanding the separation of variables step in the derivation of the rocket equation.
  • Another participant suggests that the integration should be performed between the same points and mentions the need for a change of variables.
  • There is a discussion about the integration boundaries, with one participant noting that they should be from ##v_f## to ##v_i##, and that this does not affect the result since the integrand is constant.
  • A later reply introduces the idea of changing variables to ##m(v)## and using the mass values at the initial and final velocities.
  • One participant seeks further clarification on the change of variables, indicating uncertainty about the process.
  • Another participant provides an example of how to set up the integral with the change of variables, suggesting a specific form for the integral.
  • There is a correction regarding the integration boundaries, with one participant asserting that the initial participant had them incorrect.

Areas of Agreement / Disagreement

Participants generally agree on the need to integrate both sides of the equation and the importance of changing variables, but there is disagreement regarding the correct integration boundaries and the specifics of the change of variables process.

Contextual Notes

Some participants express uncertainty about the integration process and the application of the change of variables, indicating that there may be missing assumptions or steps in the explanation.

Januz Johansen
Messages
34
Reaction score
1
hello there
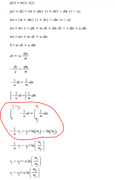
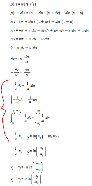
Im trying to do a derivation of tsiolkovsky's rocket equation, but i got stuck at the step when i have to use separation of variables (marked with red in the pic), i used maple to solve it, so i could get on with it, but i want to understand what is happening to solve this, so can anyone explain how to solve this step with separation of variables?
Thanks :)
upload_2016-11-27_15-19-15.png
 
Physics news on Phys.org
It is exactly what they have done. What step in particular do you have problems with?
 
Orodruin said:
It is exactly what they have done. What step in particular do you have problems with?

ok thanks so i have done some right ;)

im having trouble explaining what is happening, or i think i do.
I can explain the first steps, just isolate the variables on each side of the equation.
But what rules are used/how is this integrated (the bordered step)
Thanks :D
upload_2016-11-27_15-59-54.png
 
You integrate both sides between the same points. It is essentially making an integration and then making a change of variables.
 
  • Like
Likes   Reactions: Januz Johansen
Orodruin said:
You integrate both sides between the same points. It is essentially making an integration and then making a change of variables.
Thanks i see now :D
 
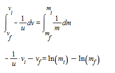
Oh, and the integration boundaries on the LHS should be ##v_f## to ##v_i##. In this particular example it does not matter for the result because the integrand is constant. You then make a change of variables to ##m(v)## and use ##m_f = m(v_f)## and ##m_i = m(v_i)##.
 
Hello
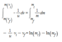
Do you mean like this?
upload_2016-11-27_16-20-29.png

im not 100% sure what you mean with the change of variables
Again thank you for helping
 

Attachments

  • upload_2016-11-27_16-20-25.png
    upload_2016-11-27_16-20-25.png
    1.5 KB · Views: 682
Yes. Consider the integral
$$
\int_{v_f}^{v_i} dv.
$$
Now, you know that ##m## is a function of ##v## so change variables to ##m##. The integral changes to
$$
\int_{m(v_f)}^{m(v_i)} \frac{dv}{dm} dm.
$$
Insert the known differential equation and perform the new integral.
 
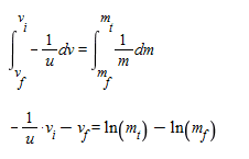
so i have it like so:
upload_2016-11-27_16-46-29.png

or do i get -1/u*m(vi)-m(vf)?
thank you for your patience and help
 
  • #10
No, you have the wrong integration boundaries in the first integral. They are what I said in my post.
 

Similar threads

Replies
4
Views
4K
  • · Replies 3 ·
Replies
3
Views
2K
  • · Replies 4 ·
Replies
4
Views
4K
  • · Replies 3 ·
Replies
3
Views
2K
  • · Replies 16 ·
Replies
16
Views
4K
  • · Replies 10 ·
Replies
10
Views
4K
  • · Replies 4 ·
Replies
4
Views
3K
  • · Replies 1 ·
Replies
1
Views
2K
  • · Replies 10 ·
Replies
10
Views
2K
  • · Replies 2 ·
Replies
2
Views
3K