Simple inductance question: Finding steady state current

Click For Summary

Homework Help Overview

The discussion revolves around a problem related to inductance and steady-state current in an electrical circuit. Participants explore the behavior of current in a circuit with inductors, particularly focusing on the conditions under which current splits between paths and the implications of changing current on potential difference across inductors.

Discussion Character

  • Conceptual clarification, Assumption checking, Exploratory

Approaches and Questions Raised

  • Participants discuss the assumption that inductors have no resistance and how this affects current distribution. Questions arise regarding the relationship between the rate of change of current (dI/dt) and the potential difference across the inductor.

Discussion Status

Some participants express understanding of the concepts discussed, while others seek clarification on the relationship between current, potential difference, and the behavior of inductors. Guidance has been offered regarding the nature of EMF in inductors and its relation to changing current.

Contextual Notes

There is an ongoing exploration of the definitions and implications of inductance, particularly in the context of steady-state conditions and the assumptions made about circuit components.

alexdr5398
Messages
31
Reaction score
1

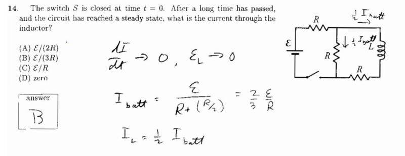
Homework Statement


n61jULN.jpg


Homework Equations


I = E / R_total

The Attempt at a Solution


I mostly just want to clarify that my thinking is correct. The solution for this problem shows that the current is split evenly between the two paths. Is that because we're assuming that the inductor has no resistance? So since both paths have resistance R, they both draw the same current?

Also, the solution states that the potential different across the inductor goes to zero as dI/dt goes to zero. Why does the current through L not also go to zero? Since:

I_L = E_L / R = 0 / R = 0
 
Physics news on Phys.org
alexdr5398 said:
I mostly just want to clarify that my thinking is correct. The solution for this problem shows that the current is split evenly between the two paths. Is that because we're assuming that the inductor has no resistance?
Yes.
So since both paths have resistance R, they both draw the same current?
Yes. To be more pedantically correct, they both pass or conduct the same current since they share the same potential difference and have the same resistance.
Also, the solution states that the potential different across the inductor goes to zero as dI/dt goes to zero. Why does the current through L not also go to zero? Since:

I_L = E_L / R = 0 / R = 0
As you've stated, the inductor does not have resistance, and certainly not a value of R. Also, E_L is across the inductor only, it doesn't include the series connected resistor that shares its path. that resistance will have its own potential difference due to the current flowing through it.
 
Thank you, that makes sense.
gneill said:
Also, E_L is across the inductor only, it doesn't include the series connected resistor that shares its path.

I don't really understand what inductors are or how they work very well. I just know that they have something to do with changes in current. Is the solution stating that because dI/dt goes to zero, the potential difference across the inductor goes to zero? Or just that both of them go to zero?
 
alexdr5398 said:
Thank you, that makes sense.I don't really understand what inductors are or how they work very well. I just know that they have something to do with changes in current. Is the solution stating that because dI/dt goes to zero, the potential difference across the inductor goes to zero? Or just that both of them go to zero?
Inductors react to a change in current by producing an EMF that tries to counter the change. That's what the equation ##E = -L~dI/dt## is saying. The analogy in mechanics is that of a mass that resists a change in velocity thanks to inertia, thus the so-called "inertial force" that makes up the Newton's third law reaction force. The formula there is ##F = -M~dV/dt##.

When the current through an inductor is constant so that dI/dt is zero there is no EMF produced. The potential difference across that inductor will be zero for any given constant current. So the two things, zero EMF and zero dI/dt are intimately related. The solution is stating that because dI/dt goes to zero, the potential difference across the inductor goes to zero, as you have written.
 
  • Like
Likes   Reactions: alexdr5398
gneill said:
Inductors react to a change in current by producing an EMF that tries to counter the change. That's what the equation ##E = -L~dI/dt## is saying. The analogy in mechanics is that of a mass that resists a change in velocity thanks to inertia, thus the so-called "inertial force" that makes up the Newton's third law reaction force. The formula there is ##F = -M~dV/dt##.

When the current through an inductor is constant so that dI/dt is zero there is no EMF produced. The potential difference across that inductor will be zero for any given constant current. So the two things, zero EMF and zero dI/dt are intimately related. The solution is stating that because dI/dt goes to zero, the potential difference across the inductor goes to zero, as you have written.

Alright, I understand now, thank you!
 

Similar threads

  • · Replies 7 ·
Replies
7
Views
2K
  • · Replies 10 ·
Replies
10
Views
1K
  • · Replies 10 ·
Replies
10
Views
2K
Replies
18
Views
2K
  • · Replies 11 ·
Replies
11
Views
4K
  • · Replies 9 ·
Replies
9
Views
2K
  • · Replies 6 ·
Replies
6
Views
3K
  • · Replies 9 ·
Replies
9
Views
5K
  • · Replies 8 ·
Replies
8
Views
3K
  • · Replies 3 ·
Replies
3
Views
2K