Simple Vector Calc: Homework Solutions

  • Thread starter Thread starter icystrike
  • Start date Start date
  • Tags Tags
    Vector
Click For Summary

Homework Help Overview

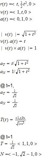
The discussion revolves around a vector calculus problem involving a parametric representation of a path, specifically r(t) = . Participants express concerns about the clarity of the problem statement and its implications for solving the problem.

Discussion Character

  • Assumption checking, Problem interpretation, Mixed

Approaches and Questions Raised

  • Participants question the adequacy of the problem statement, particularly regarding the assumptions needed to interpret the parametric equations. There is also a discussion about the correctness of a specific working solution and potential discrepancies in calculations.

Discussion Status

The discussion is ongoing, with participants exploring different interpretations of the problem and questioning the assumptions made. Some guidance is offered regarding the correctness of calculations, but there is no explicit consensus on the interpretations or solutions.

Contextual Notes

There is an indication that the problem may lack necessary information, specifically regarding the context of time in relation to the parametric equations. Participants are navigating these uncertainties as part of their discussion.

icystrike
Messages
444
Reaction score
1

Homework Statement



attachment.php?attachmentid=33722&stc=1&d=1301507870.jpg


Homework Equations





The Attempt at a Solution



attachment.php?attachmentid=33723&stc=1&d=1301507870.jpg
 

Attachments

  • qn.jpg
    qn.jpg
    20.1 KB · Views: 525
  • sol.jpg
    sol.jpg
    10.7 KB · Views: 399
Physics news on Phys.org
My only comment would be that the problem is very poorly stated. It is one thing to say the path is given parametrically by r(t) = <t, (1/2)t2> and another thing to say that r(t) describes the position of the motorcycle at time t, t in seconds, which it does not state. The problem is not solvable without assuming that.
 
oh... i think its their negligence.. But if they have stated that.. will my working be correct? :) Thanks again!
 
icystrike said:
oh... i think its their negligence.. But if they have stated that.. will my working be correct? :) Thanks again!

I think mostly correct. I'm disagreeing with your N by a factor of 1/sqrt(2), but I might be off so check it.
 

Similar threads

  • · Replies 4 ·
Replies
4
Views
2K
  • · Replies 4 ·
Replies
4
Views
2K
  • · Replies 2 ·
Replies
2
Views
3K
  • · Replies 2 ·
Replies
2
Views
2K
  • · Replies 4 ·
Replies
4
Views
2K
  • · Replies 3 ·
Replies
3
Views
3K
  • · Replies 4 ·
Replies
4
Views
2K
  • · Replies 14 ·
Replies
14
Views
2K
  • · Replies 3 ·
Replies
3
Views
3K
  • · Replies 16 ·
Replies
16
Views
2K