Simplifying a matrix into an equation

  • Context: Undergrad 
  • Thread starter Thread starter Joes12
  • Start date Start date
  • Tags Tags
    Matrix Simplifying
Click For Summary

Discussion Overview

The discussion revolves around the process of simplifying a matrix into a compact equation form. Participants explore the decomposition of matrices, the operations involving matrices and vectors, and the notation used in these contexts. The scope includes technical reasoning and mathematical notation.

Discussion Character

  • Technical explanation
  • Mathematical reasoning
  • Debate/contested

Main Points Raised

  • One participant seeks to express a matrix in a compact equation form and questions how to separate a column vector from it.
  • Another participant clarifies that the product of a matrix and a vector results in a vector, not another matrix, and mentions the possibility of decomposing a matrix into a product of two matrices.
  • A participant proposes a method involving a lower triangular matrix of the identity matrix and a diagonal matrix of a vector, asking for feedback on their notation.
  • There is uncertainty about the equality being sought by the original poster, with a request for clarification on the notation used for the lower triangular matrix.
  • A participant describes a desired operation that resembles the Hadamard product but involves matrices of different sizes, seeking a way to express padding and subsequent operations succinctly.
  • Another participant questions the validity of a specific notation related to the lower triangular matrix.

Areas of Agreement / Disagreement

Participants express differing views on the operations and notation involved in matrix manipulation, and the discussion remains unresolved regarding the specific equality and notation being sought.

Contextual Notes

There are limitations in the clarity of the operations being discussed, particularly regarding the notation for the lower triangular matrix and the specifics of the desired matrix operations.

Joes12
Messages
8
Reaction score
0
TL;DR
Im looking to simplify a matrix and express it in a more compact equation form if possible
Hi,

Please see the attached image. I have a matrix and would like to split it up into a nice compact equation if possible. Matrix A seems to be a nice pattern that would lend itself to writing in equation form but I’m not sure what to do. Is it possible? Also do you know how I could correctly separate the column vector out? Would I need to add some padding to this? How would you do that? Many thanks.
 

Attachments

  • 37CEAAF7-8E65-43FB-910A-97618BF9AE50.jpeg
    37CEAAF7-8E65-43FB-910A-97618BF9AE50.jpeg
    23.6 KB · Views: 231
Physics news on Phys.org
It's not clear what you are trying to do. The product of a matrix and a vector is another vector; not another matrix.

It is possible to decompose a matrix into a product of two matrices.
 
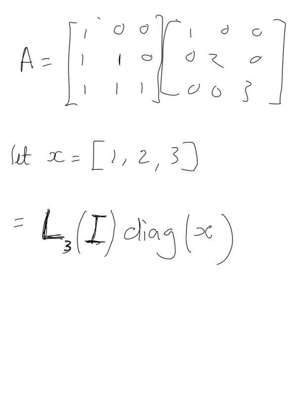
I think I’ve found a way to calculate the A part. Is my notation correct? What I am trying to say is take the lower triangular matrix of the Identity matrix, so that it results in all ones of the lower triangular part. Then multiply this by the diagonal matrix of vector x. Please see attached.

Any idea how to progress the a part? Is there something like a hadamard product operation but for a matrix and a column vector? Thanks again :)
 

Attachments

  • 985877B5-B7DD-49D8-8832-B6C5B690CA2D.jpeg
    985877B5-B7DD-49D8-8832-B6C5B690CA2D.jpeg
    14.7 KB · Views: 229
I still don't see what equality you are looking for.
 
Appologies I think I should have written J instead of I.

From what I read, the symbol for the lower triangular matrix is L. If I want the non-zero elements of L to be 1 can I write L(J_n)? Is that valid notation to describe that situation?

What I am looking to say with the a part is, take each element in the resulting matrix above and multiply each of the elements by the value given in the column vector with the same row.

eg: [1 2 ;3 4] some operation [10 20]^T = [1*10 2*10; 3*20 4*20]

The Hadamard product is kind of like what I want to do however I am looking for matrices of different sizes.

Is there a way to succinctly say, pad to make the matrices the same size, perform Hadamard product and then remove the unwanted elements?
 
I think Iv found the answer. Is it valid to write L(J_n) though? Thanks again
 

Similar threads

  • · Replies 14 ·
Replies
14
Views
5K
  • · Replies 7 ·
Replies
7
Views
3K
  • · Replies 7 ·
Replies
7
Views
5K
  • · Replies 5 ·
Replies
5
Views
4K
  • · Replies 4 ·
Replies
4
Views
3K
  • · Replies 6 ·
Replies
6
Views
2K
  • · Replies 5 ·
Replies
5
Views
3K
  • · Replies 3 ·
Replies
3
Views
2K
  • · Replies 1 ·
Replies
1
Views
2K
  • · Replies 12 ·
Replies
12
Views
3K