Small Integration: Learn How to Navigate the Second Line

  • Context: High School 
  • Thread starter Thread starter electronic engineer
  • Start date Start date
  • Tags Tags
    Integration
Click For Summary
SUMMARY

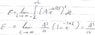
The discussion focuses on integrating functions across a symmetric interval using the technique of splitting the integral. Specifically, it outlines the method for calculating the integral of a function f(t) from -L to L by breaking it into two parts: the integral from 0 to L and the integral from -L to 0, where the latter is transformed by substituting -t. This approach allows for the removal of absolute value signs and facilitates standard integration techniques. Finally, the limits are substituted, and L is allowed to approach infinity to complete the process.

PREREQUISITES
  • Understanding of definite integrals and their properties
  • Familiarity with function transformations and substitutions
  • Knowledge of limits and their application in calculus
  • Basic skills in mathematical notation and integral calculus
NEXT STEPS
  • Study the properties of definite integrals in calculus
  • Learn about function transformations, particularly in integration
  • Explore advanced techniques in integral calculus, such as improper integrals
  • Practice solving integrals involving symmetric intervals and limits
USEFUL FOR

Students and professionals in mathematics, particularly those studying calculus, as well as educators looking for effective integration techniques for teaching purposes.

electronic engineer
Messages
145
Reaction score
3
Hello.I actually didn't know exactly how do we get to the second line with this integration.
 

Attachments

  • integral.JPG
    integral.JPG
    19.9 KB · Views: 448
Physics news on Phys.org
Integrate this by splitting up the interval on which it is done:

[tex]\int^L_{-L} f(t) dt = \int^L_{0} f(t) dt + \int^0_{-L} f(-t) dt[/tex]

Then you'll be able to remove the '| |' and integrate it normally. When you're done with the integration, just substitute in the limits and let L approach infinity.
 

Similar threads

  • · Replies 12 ·
Replies
12
Views
3K
  • · Replies 6 ·
Replies
6
Views
2K
  • · Replies 3 ·
Replies
3
Views
6K
  • · Replies 5 ·
Replies
5
Views
3K
  • · Replies 10 ·
Replies
10
Views
3K
  • · Replies 4 ·
Replies
4
Views
7K
  • · Replies 13 ·
Replies
13
Views
3K
  • · Replies 49 ·
2
Replies
49
Views
8K
  • · Replies 2 ·
Replies
2
Views
2K