Solution of differential equation

Click For Summary

Discussion Overview

The discussion revolves around solving a differential equation, specifically focusing on the methods for finding the characteristic equation and general solutions for linear, homogeneous differential equations with constant coefficients. Participants explore different forms of solutions, including those involving trigonometric and hyperbolic functions, and discuss boundary conditions relevant to the problem.

Discussion Character

  • Technical explanation
  • Mathematical reasoning
  • Debate/contested

Main Points Raised

  • Some participants discuss the process of deriving the characteristic equation for a second-order differential equation and its implications for the general solution.
  • Others explain the conversion from complex exponentials to sine and cosine functions, emphasizing the relationship defined by Euler's formula.
  • A participant raises a question about normalization of functions and the conditions required for a function to be normalized over a specified interval.
  • There is a discussion about the differences in solutions when dealing with second versus fourth-order differential equations, particularly regarding the roots of the characteristic equations.
  • Some participants express confusion about whether to express solutions in terms of exponential functions or hyperbolic functions, with differing opinions on the appropriateness of each form.
  • A later reply provides a method for solving for constants in the general solution, but acknowledges the complexity of the resulting equations.
  • Participants share their struggles with solving the equations and express a need for further clarification on specific steps and boundary conditions.

Areas of Agreement / Disagreement

Participants do not reach a consensus on the best approach to express solutions, as some advocate for using hyperbolic functions while others prefer exponential forms. Additionally, there is ongoing uncertainty regarding the normalization process and the specific boundary conditions applicable to the problem.

Contextual Notes

Participants note that the problem involves complex roots and boundary conditions that may lead to trivial solutions, but the implications of these conditions are not fully resolved. There is also mention of the difficulty in solving for constants due to the complexity of the equations involved.

ssky
Messages
29
Reaction score
0
Hi, I want to ask how to solve this equation in this way?
 

Attachments

  • التقاط.JPG
    التقاط.JPG
    10.6 KB · Views: 538
Physics news on Phys.org
It's hard to respond without know what you already know. Do you know how to get the "characteristic equation" for a "linear, homogeneous, differential equation with constant coefficients" such as this?

For this differential equation, the characteristic equation is [itex]r^2= -\lambda_i[/itex] and has characteristic roots [itex]r= \pm\lambda_i i[/itex] (that second "i" is the imaginary unit). That, in turn means that the general solution to the differential equation is [itex]\psi_i(x)= Ae^{i\lambda_i x}+ Ce^{-i\lambda_i x}= Ccos(\lambda_i x)+ D sin(\lambda_i x)[/itex] where A, B, C, and D are constants. Do you understand how to convert from the complex exponential to sine and cosine? It is based on [itex]e^{ix}= cos(x)+ i sin(x)[/itex].

Now look at the boundary conditions. From [itex]\psi_i(x)= Ccos(\lambda_i x)+ Dsin(\lambda_i x)[/itex], we have [itex]d\psi_i/dx= -C\lambda_i sin(\lambda_i x)+ D\lambda_i cos(\lambda_i x)[/itex] so [itex]d\psi_i/dx(0)= D\lambda_i = 0[/itex].

If [itex]\lambda_i= 0[/itex] the differential equation would be just [itex]d^2\psi_i/dx= 0[/itex] which has general solution [itex]\psi_i(x)= Ax+ B[/itex] (just integrate twice) and then [itex]d\psi/dx= A= 0[/itex] in order to satisfy [itex]d\psi/dx(0)= 0[/itex]. Then \psi_i(1)= B= 0[/itex] from the other boundary condition. That gives [itex]\psi_i(x)[/itex] identically 0. That is a solution but not a very interesting or useful one! That is called the "trivial" solution. If [itex]\lambda_i\ne 0[/itex], we must have D= 0 so that [itex]\psi_i(x)= C cos(\lambda_i x)[/itex].

Now [itex]\psi_i(1)= C cos(\lambda_i)= 0[/itex]. That is satisfied by C= 0- but again, that would mean, with both C and D equal to 0, that [itex]\psi_i(x)[/itex] is identically 0. In order to have a "non trivial" solution, we must have [itex]cos(\lambda_i)= 0[/itex]. cos(x)= 0 for x an "odd multiple of [itex]\pi/2[/itex]": [itex]\pi/2[/itex], [itex]3\pi/2[/itex], etc. That means we must have [itex]\lambda_i= (2i- 1)\pi/2[/itex]. That is the reason for the subscript "i" on the functions. We now have [itex]\psi(x)= Ccos(((2i-1)\pi/2)x)[/itex].

The intial [itex]\sqrt{2}[/itex] is the "normalizing" part. That makes the integral of the square of the function, from 0 to 1, equal to 1.
 
Last edited by a moderator:
HallsofIvy, i do not know how to thank you.
thank you very very very ... very much.
but, i don't understand :shy: the last part
can you help me pleas


The intial is the "normalizing" part. That makes the integral of the square of the function, from 0 to 1, equal to 1
 
Last edited:
For a function f(x) to be normalised on an interval [a,b] it has to satisfy [tex]\int_a^b |f(x)|^2 dx=1[/tex]. Solve this for C.
 
thank you very very much ----> Cyosis :smile:
I understood :biggrin: ... but :confused: when I solved another problem I do not get the same solution.
look at the first and the second parts of the solution why we wrote cosh and sinh​
 

Attachments

  • ssky.JPG
    ssky.JPG
    21.7 KB · Views: 473
HallsofIvy said:
For this differential equation, the characteristic equation is [itex]r^2= -\lambda_i[/itex] and has characteristic roots [itex]r= \pm\lambda_i i[/itex] (that second "i" is the imaginary unit). That, in turn means that the general solution to the differential equation is [itex]\psi_i(x)= Ae^{i\lambda_i x}+ Ce^{-i\lambda_i x}= Ccos(\lambda_i x)+ D sin(\lambda_i x)[/itex] where A, B, C, and D are constants. Do you understand how to convert from the complex exponential to sine and cosine? It is based on [itex]e^{ix}= cos(x)+ i sin(x)[/itex].

The difference between the previous differential equation and this one is that the first one had a second derivative in it and this one a fourth derivative. So the characteristic equation changes from [itex]r^2=-\lambda_i^2[/itex] to [itex]r^4=\mu_i^4[/itex]. This has the solutions [itex]r=\{-\mu_i,\mu_i,-i \mu_i, i\mu_i \}[/itex] as a result the general solution will become [itex]\psi(x)=A e^{-\mu x}+B e^{\mu x}+C e^{- i \mu x}+D e^{i \mu x}[/itex]. The exponents with i in their powers can be written as cosine and sine again and the real exponents can be written as cosh and sinh.
 
Notice an important difference between your two problems:
The first was [itex]d^2\psi/dx^2= -\lambda_i^2 \psi[/itex] which has characteristic equation [itex]r^2= -\lambda_i^2[/itex] with roots [itex]\pm i\lambda_i[/itex] while the second was [itex]d^4\psi/dx^4= /mu^4\psi[/itex] which has characteristic equation [itex]r^4= \mu^4[/itex]. We can solve that by first taking the square root: [itex]r^2= \pm \mu^2[/itex]. Taking the positive root, [itex]r^2= \mu^2[/itex], and taking the square root again gives [itex]r= \pm \mu[/itex] while taking the negative root, [itex]r^2= -\mu^2[/itex] and taking the square root gives [itex]r= \pm i\mu[/itex]. The four roots of the equation are [itex]\mu[/itex], [itex]-\mu[/itex], [itex]i\mu[/itex], and [itex]-i\mu[/itex].

The imaginary roots, [itex]i\mu[/itex] and [itex]-i\mu[/itex], give [itex]sin(\mu x)[/itex] and [itex]cos(\mu x)[/itex] solutions as before. The solutions corresponding to the real roots, [itex]\mu[/itex], and [itex]-\mu[/itex], can be written [itex]e^{\mu x}[/itex] and [itex]e^{-\mu x}[/itex], but because
[tex]cosh(\mu x)= \frac{e^{\mu x}+ e^{-\mu x}}{2}[/tex]
and
[tex]sinh(\mu x)= \frac{e^{\mu x}- e^{-\mu x}}{2}[/tex]
they can be written in terms of sinh and cosh also. Since cosh(0)= 1 and sinh(0)= 0, those functions are better suited for initial value problems where we are given values of the function and its derivative at x= 0.
 
thank you :blushing: ... but if we write in the solution [itex]e^{\mu x}[/itex] and [itex]e^{-\mu x}[/itex] is it right ? or we have to write cosh and sinh in the solution :confused:
 
You don't have to write it in cosh, sinh form. Halls gave a good reason why it is nice to do so however.
 
  • #10
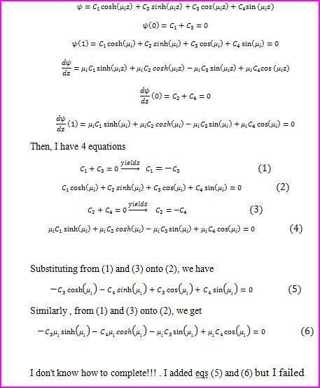
I am so grateful for your interesting in my problem and I will be more grateful if you tell to found the constants c1, c2 , c3 and c4 because I tried but I failed.​
:cry:
 
  • #11
Show us all the steps you've done so far so we can see where you failed.
 
  • #12
sorry, i can not write it by latex .
 

Attachments

  • sky.JPG
    sky.JPG
    34.9 KB · Views: 460
  • #13
That is all correct so far. You can now solve equation (5) for C3 and then plug it into solve for C4. After that you can solve C1 and C2. It doesn't look like it's going to be pretty though, I'll have a look at it later to see if you can simplify it.
 
  • #14
Cyosis said:
That is all correct so far. You can now solve equation (5) for C3 and then plug it into solve for C4. After that you can solve C1 and C2. It doesn't look like it's going to be pretty though, I'll have a look at it later to see if you can simplify it.




thank you but I do not understand what you mean.
 
  • #15
From the picture you linked you get the following two equations:

[tex] \begin{align}<br /> & -C_3 \cosh \mu_i-C_4 \sinh \mu_i+C_3 \cos \mu_i+C_4 \sin \mu_i=0<br /> \\<br /> & -C_3 \sinh \mu_i-C_4 \cosh \mu_i - C_3 \sin \mu_i+C_4 \cos \mu_i=0<br /> \end{align}[/tex]

Solving equation (1) for C3 yields:

[tex] C_3=-C_4 \frac{\sin \mu_i -\sinh \mu_i}{\cos \mu_i-\cosh \mu_i}[/tex]

Plug this value for C3 into equation (2) and solve for C4.

Edit: This is a pretty weird problem, because the only function that seems to meet all requirements is 0.
 
Last edited:
  • #16
I did as you say but i can not solve it because it is very difficult. please, look to the picture

why [tex]cosh(\mu) cos(\mu)=1[/tex] ?
 

Attachments

  • sky1.JPG
    sky1.JPG
    24.7 KB · Views: 405
  • #17
pleas pleas pleas help me
 
  • #18
What "boundary conditions" is that talking about? Is it the same problem as you posted in response #5?
 
  • #19
yes, it is the same problem as i posted in response #5 and #16
 
  • #20
Okay, the general solution is
[tex]\psi(x)= C_1cosh(\mu x)+ C_2sinh(\mu x)+ C_3cos(\mu x)+ C_4sin(\mu x)[/tex]
so
[tex]\psi'(x)= \mu C_1sinh(\mu x)+ \mu C_2 cosh(\mu x)- \mu C_3sin(\mu x)+ \mu C_4cos(\mu x)[/tex]

and the conditions are
[tex]\psi(0)= d\psi(0)/dx= 0[/tex]
[tex]\psi(1)= d\psi(1)/dx= 0[/tex]

[tex]\psi(0)= C_1+ C_3= 0[/tex]
so
[tex]C_3= -C_1[/tex]

[tex]\psi'(0)= \mu C_2+ \mu C_4= 0[/tex]
so
[tex]C_4= -C_2[/tex].

That tells us that we can write
[tex]\psi(x)= C_1cosh(\mu x)+ C_2sinh(\mu x)- C_1cos(\mu x)+ C_2sin(\mu x)[/tex]

Now we use
[tex]\psi(1)= C_1cosh(\mu)+ C_2sinh(\mu)- C_1cos(\mu)+ C_2sin(\mu)= 0[/tex]
and
[tex]\psi'(1)= \mu C_1sinh(\mu)+ \mu C_2 cosh(\mu)+ \mu C_1sin(\mu)- \mu C_2cos(\mu)= 0[/tex]

We can write those as
[tex]C_1(cosh(\mu)- cos(\mu))+ C_2(sinh(\mu)- sin(\mu))= 0[/tex]
and
[tex]C_1(sinh(\mu)+ sin(\mu)+ C_2(cosh(\mu)- cos(\mu))= 0[/tex]

In order to solve for, say, [itex]C_1[/itex], we would have to eliminate [itex]C_2[/itex].
We could do that by multiplying the first equation by [itex]cosh(\mu)- cos(\mu)[/itex], the second equation by [itex]sinh(\mu)- sin(\mu)[/itex], and subtracting the second from the first.

That gives
[tex](cosh(\mu)- cos(\mu))(cosh(\mu)- cos(\mu))C_1- (sinh(\mu)- sin(\mu))(sinh(\mu)+ sin(\mu)C_1= 0[/tex]
[tex]C_1(cosh^2(\mu)- 2sinh(\mu)sin(\mu)+ cos^2(\mu)- sinh^2(\mu)+ sin^2(\mu))= 0[/tex].

But [itex]cosh^2(\mu)- sinh^2(\mu)= 1[/itex] and [itex]cos^2(\mu)+ sin^2(\mu)= 1[/itex] so this becomes
[tex](2- 2cosh(\mu)cos(\mu))C_1= 0[/tex]

Now, one obvious solution is [itex]C_1= 0[/itex] but that leads to [itex]C_2= 0[/itex] also which means [itex]\psi(x)[/itex] is identically 0- the "trivial" solution. In order to have a "non-trivial" solution, we must have [itex]C_1\ne 0[/itex] which means we must have the coefficient
[tex]2- 2cosh^2(\mu)cos(\mu)= 0[/tex]
which leads immediately to [itex]2cosh(\mu)cos(\mu)= 2[/itex] or
[tex]cosh(\mu)cos(\mu)= 1[/itex].[/tex]
 
Last edited by a moderator:
  • #21
thanks a lot,

if [itex]C_1\ne 0[/itex]
then how we find [itex]C_1[/itex] ?
 
Last edited:
  • #22
ssky said:
thanks a lot,

if [itex]C_1\ne 0[/itex]
then how we find [itex]C_1[/itex] ?
We don't. If [itex]cosh(\mu)cos(\mu)= 1[/itex], so there are non-trivial solutions, there will be an infinite number of such non-trivial functions.

Basically, you are solving an "eigenvalue" problem. If there exist non-trivial solutions to the equation [itex]Av= \mu v[/itex] for A a linear operator, then [itex]\mu[/itex] is an "eigenvalue" of A and it can be shown that the set of all eigenvectors (values of v) satisfying that equation for that particular value of [itex]\mu[/itex] form a "subspace" of all possible solutions and so there are necessarily an infinite number of them.
 
  • #23
thank you very much... I would like to give you this gift for helping me



http://blog.doctissimo.fr/php/blog/un_avenir_heureux/images/bouquet%20de%20fleur.gif​
[/URL]
 
Last edited by a moderator:
  • #24
ssky said:
thank you very much... I would like to give you this gift for helping me



http://blog.doctissimo.fr/php/blog/un_avenir_heureux/images/bouquet%20de%20fleur.gif​
[/URL]
Very nice! Thank you!
 
Last edited by a moderator:
  • #25
Hello, I am calculating a very important thing. But to find it, I should be able to resolve this equation. Y^2xY’’=C (C: Real number). Please help me solve it. Thanks in advance!

(YY)xY''=C (C:Real nnumber)
 
  • #26
Why in the world did you add this onto a thread everyone had finished with?

Click on the "new topic" button to start a new thread.

In fact, I am going to do that for you and name it "gerechte23's question"!
 
Last edited by a moderator:

Similar threads

  • · Replies 24 ·
Replies
24
Views
4K
  • · Replies 3 ·
Replies
3
Views
2K
  • · Replies 52 ·
2
Replies
52
Views
10K
  • · Replies 3 ·
Replies
3
Views
3K
  • · Replies 2 ·
Replies
2
Views
3K
Replies
0
Views
3K
  • · Replies 3 ·
Replies
3
Views
2K
  • · Replies 6 ·
Replies
6
Views
2K
  • · Replies 3 ·
Replies
3
Views
3K
  • · Replies 5 ·
Replies
5
Views
4K