Solution To Photon Trajectory Equation

Click For Summary

Discussion Overview

The discussion revolves around the derivation and solution of the differential equation for photon trajectories in a gravitational field, specifically using the Schwarzschild metric. Participants explore both analytical and approximate solutions to the nonlinear ordinary differential equation that describes the motion of photons near a mass, incorporating gravitational effects.

Discussion Character

  • Technical explanation
  • Mathematical reasoning
  • Debate/contested

Main Points Raised

  • One participant presents a differential equation derived from the null geodesic and Schwarzschild metric, seeking an analytic or approximate solution.
  • Another participant discusses the equation of motion without gravitational terms, noting that it simplifies to a straight line trajectory.
  • Participants propose a perturbative expansion around the straight line solution to incorporate gravitational effects, leading to a modified equation.
  • There is a discussion about the form of the homogeneous solution and the need for separate coefficients for sine and cosine terms in the perturbative expansion.
  • Participants explore how to determine coefficients based on initial conditions, including the orientation of the photon trajectory and the impact parameter.
  • Questions arise regarding the correct definition of the impact parameter in the context of Schwarzschild spacetime versus the nongravitational case.

Areas of Agreement / Disagreement

Participants express various viewpoints on the methods for solving the differential equation and the implications of initial conditions. There is no clear consensus on the best approach to define the impact parameter or the coefficients in the perturbative expansion, indicating ongoing debate and exploration of the topic.

Contextual Notes

Participants note the dependence of solutions on initial conditions and the specific definitions of parameters like the impact parameter, which may vary between contexts. Some mathematical steps remain unresolved, and assumptions about the trajectory and coefficients are discussed without reaching definitive conclusions.

LazyPhysicist1
Messages
7
Reaction score
0
TL;DR
I need help solving the nonlinear photon trajectory diffeq near a mass as derived by the Schwarzschild metric.
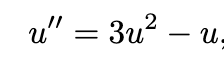
Using the null geodesic and the Schwarzschild metric, this differential equation for photon trajectory near a mass can be derived, where u is r_s /2r:

View attachment 349924

Though this nonlinear ode is fairly easy to approximate (which I already have), I'm looking for an analytic solution or an approximate analytic solution. No online calculators work, except Wolfram (for which I don't have pro), which gives me an unusably complicated solution; https://www.wolframalpha.com/input?i=y''+=+3y^2-y

Is there a way I can better solve this differential equation/approximate an analytical solution? Thanks.
 

Attachments

  • Screenshot 2024-08-15 at 09.55.10.png
    Screenshot 2024-08-15 at 09.55.10.png
    1.4 KB · Views: 86
Physics news on Phys.org
Without the gravitational term, the equation of motion is ##u'' + u = 0## i.e. ##u \sim \sin{\phi}##, which is to say that the trajectory is a straight line (specifically ##u = \tfrac{1}{b} \sin{\phi}## if the impact parameter is ##b##).

Putting in the gravitational term so that ##u'' + u = 3u^2## (with ##M=1##), you take a perturbative expansion around the previous straight line solution with expansion parameter ##1/b##. So to linear order,

##u = \frac{1}{b} \sin{\phi} + \frac{1}{b} \epsilon := u_0 + \frac{1}{b} \epsilon##

which you can plug back in (and use ##u_0'' + u_0 = 0##) to get

##\epsilon'' + \epsilon = \frac{3}{b} \frac{1-\cos{2\phi}}{2}##

This is now a classic second order ODE for ##\epsilon(\phi)## that you can solve by finding a homogeneous and particular solution. I'll leave you to try and work out the intermediate and remaining steps.
 
  • Like
Likes   Reactions: LazyPhysicist1
ergospherical said:
Without the gravitational term, the equation of motion is ##u'' + u = 0## i.e. ##u \sim \sin{\phi}##, which is to say that the trajectory is a straight line (specifically ##u = \tfrac{1}{b} \sin{\phi}## if the impact parameter is ##b##).

Putting in the gravitational term so that ##u'' + u = 3u^2## (with ##M=1##), you take a perturbative expansion around the previous straight line solution with expansion parameter ##1/b##. So to linear order,

##u = \frac{1}{b} \sin{\phi} + \frac{1}{b} \epsilon := u_0 + \frac{1}{b} \epsilon##

which you can plug back in (and use ##u_0'' + u_0 = 0##) to get

##\epsilon'' + \epsilon = \frac{3}{b} \frac{1-\cos{2\phi}}{2}##

This is now a classic second order ODE for ##\epsilon(\phi)## that you can solve by finding a homogeneous and particular solution. I'll leave you to try and work out the intermediate and remaining steps.
Thank you! I get ##\epsilon = \frac{\cos{2\phi}+3}{2b} + c(\sin{\phi} + \cos{\phi})## thus giving me a solution of

##u(\phi) = \frac{(\frac{\cos{\phi}+3}{2b} + c(\sin{\phi} + \cos{\phi}) + \sin{\phi})}{b}##, where ##b=\frac{r^2 \sin ^2 \theta}{1-\frac{2 M}{r}} \frac{d \phi}{d t}##

How do I know what c is? Also, how did you get ##u = \tfrac{1}{b} \sin{\phi}## from ##u = c \sin{\phi}##?
 
LazyPhysicist1 said:
Also, how did you get ##u = \tfrac{1}{b} \sin{\phi}## from ##u = c \sin{\phi}##?

The zero order straight line solution is ##u = \tfrac{1}{b} \sin{\phi}## because geometrically ##u = 1/r##, so that's equivalent to ##b = r\sin{\phi}## (draw a sketch).

LazyPhysicist1 said:
I get ##\epsilon = \frac{\cos{2\phi}+3}{2b} + c(\sin{\phi} + \cos{\phi})##

Almost, but the homogeneous solution can be any linear combination of sin and cos, so they need separate coefficients. It's useful to write these in the form ##C/b## and ##D/b## so that we can explicitly keep track of the perturbative order.

##\epsilon = \frac{1}{2b} (\cos{2\phi} + 3) + \frac{C}{b} \cos{\phi} + \frac{D}{b}\sin{\phi}##

and

##u = \frac{1}{b} \sin{\phi} + \frac{1}{2b^2} (\cos{2\phi} + 3) + \frac{C}{b^2} \cos{\phi} + \frac{D}{b^2}\sin{\phi}##

Choosing ##C## and ##D## amounts to specifying the orientation of the orbit. If you want the photon to fall in from the left (##x \rightarrow -\infty##), then you want ##y \rightarrow 0## as ##\phi \rightarrow \pi## and ##r \rightarrow \infty##. In this case you find ##C = 2##, for example.
 
  • Like
Likes   Reactions: LazyPhysicist1
ergospherical said:
The zero order straight line solution is ##u = \tfrac{1}{b} \sin{\phi}## because geometrically ##u = 1/r##, so that's equivalent to ##b = r\sin{\phi}## (draw a sketch).



Almost, but the homogeneous solution can be any linear combination of sin and cos, so they need separate coefficients. It's useful to write these in the form ##C/b## and ##D/b## so that we can explicitly keep track of the perturbative order.

##\epsilon = \frac{1}{2b} (\cos{2\phi} + 3) + \frac{C}{b} \cos{\phi} + \frac{D}{b}\sin{\phi}##

and

##u = \frac{1}{b} \sin{\phi} + \frac{1}{2b^2} (\cos{2\phi} + 3) + \frac{C}{b^2} \cos{\phi} + \frac{D}{b^2}\sin{\phi}##

Choosing ##C## and ##D## amounts to specifying the orientation of the orbit. If you want the photon to fall in from the left (##x \rightarrow -\infty##), then you want ##y \rightarrow 0## as ##\phi \rightarrow \pi## and ##r \rightarrow \infty##. In this case you find ##C = 2##, for example.
Got it! Thanks a lot!
 
ergospherical said:
The zero order straight line solution is ##u = \tfrac{1}{b} \sin{\phi}## because geometrically ##u = 1/r##, so that's equivalent to ##b = r\sin{\phi}## (draw a sketch).



Almost, but the homogeneous solution can be any linear combination of sin and cos, so they need separate coefficients. It's useful to write these in the form ##C/b## and ##D/b## so that we can explicitly keep track of the perturbative order.

##\epsilon = \frac{1}{2b} (\cos{2\phi} + 3) + \frac{C}{b} \cos{\phi} + \frac{D}{b}\sin{\phi}##

and

##u = \frac{1}{b} \sin{\phi} + \frac{1}{2b^2} (\cos{2\phi} + 3) + \frac{C}{b^2} \cos{\phi} + \frac{D}{b^2}\sin{\phi}##

Choosing ##C## and ##D## amounts to specifying the orientation of the orbit. If you want the photon to fall in from the left (##x \rightarrow -\infty##), then you want ##y \rightarrow 0## as ##\phi \rightarrow \pi## and ##r \rightarrow \infty##. In this case you find ##C = 2##, for example.
How do I solve for D?
 
Another initial condition, e.g. fix the initial gradient of the light ray trajectory. In truth you don't need to do this if all you want is the first order deflection, because ##(D/b^2)\sin{\theta}## is one order smaller than the first term ##(1/b)\sin{\theta}## whatever ##O(1)## constant you pick for ##D##.
 
Could you be a little more specific as to how I would determine D given initial photon direction angle a/initial gradient of light ray? I already incorporated angle a into the impact parameter.
 
You need to fix your trajectory to whatever initial conditions you want, i.e. specify a point (or a limit, e.g. infinity from the left) and a derivative along the trajectory at this point e.g. ##dy/dx## (e.g. to zero).
 
  • Like
Likes   Reactions: LazyPhysicist1
  • #10
Got it, I solved for the coefficents. One last thing; do I take b as the impact parameter rsin(theta) from the nongravitational case, or ##b=\frac{r^2 \sin ^2 \theta}{1-\frac{2 M}{r}} \frac{d \phi}{d t}##, which is the impact parameter in schwarzachild spacetime. Also, I take it to be the parameter for the initial condition right? Not the parameter for each point.
 
  • #11
ergospherical said:
You need to fix your trajectory to whatever initial conditions you want, i.e. specify a point (or a limit, e.g. infinity from the left) and a derivative along the trajectory at this point e.g. ##dy/dx## (e.g. to zero).
LazyPhysicist1 said:
Got it, I solved for the coefficents. One last thing; do I take b as the impact parameter rsin(theta) from the nongravitational case, or ##b=\frac{r^2 \sin ^2 \theta}{1-\frac{2 M}{r}} \frac{d \phi}{d t}##, which is the impact parameter in schwarzachild spacetime. Also, I take it to be the parameter for the initial condition right? Not the parameter for each point.
 

Similar threads

  • · Replies 11 ·
Replies
11
Views
2K
  • · Replies 20 ·
Replies
20
Views
3K
  • · Replies 1 ·
Replies
1
Views
1K
  • · Replies 5 ·
Replies
5
Views
2K
  • · Replies 1 ·
Replies
1
Views
1K
  • · Replies 186 ·
7
Replies
186
Views
13K
  • · Replies 14 ·
Replies
14
Views
3K
Replies
9
Views
2K
  • · Replies 52 ·
2
Replies
52
Views
10K
  • · Replies 1 ·
Replies
1
Views
2K