Solution to the Dirac equation

  • Context: Undergrad 
  • Thread starter Thread starter klabautermann
  • Start date Start date
  • Tags Tags
    Dirac Dirac equation
Click For Summary

Discussion Overview

The discussion revolves around the construction of solutions to the Dirac equation, particularly focusing on the transition from rest-frame solutions to general momentum solutions. Participants explore the mathematical framework and implications of using specific spinor forms and normalization constants.

Discussion Character

  • Technical explanation
  • Mathematical reasoning
  • Debate/contested

Main Points Raised

  • One participant questions the utility of the equation (\gamma^{\mu}p_{\mu}+m)(\gamma^{\nu}p_{\nu}-m)=0 in constructing solutions from rest-frame solutions.
  • Another participant proposes that using the dispersion relation (p\!\!\!/ - m)(p\!\!\!/ + m) = 0 allows for constructing solutions u(p) = (p\!\!\!/ + m)w(p), where w(p) can be chosen as a rest-frame spinor.
  • A participant challenges the assumption that multiplying a rest-frame spinor by a constant yields a valid spinor for arbitrary momentum p, asserting that such multiplication does not change the spinor's physical representation.
  • Clarification is provided that w(p) can be any arbitrary 4-component spinor, and the rest-frame spinor can be substituted into the equation to derive solutions for arbitrary momentum.
  • Normalization constants are discussed, with one participant indicating that a specific normalization can be chosen to satisfy certain conditions.

Areas of Agreement / Disagreement

Participants express differing views on the validity of using a constant multiplication to generalize rest-frame spinors to arbitrary momentum solutions. The discussion remains unresolved regarding the implications of this approach and the nature of the spinors involved.

Contextual Notes

Participants highlight potential limitations in their assumptions about the nature of spinors and the normalization constants, indicating that the discussion is contingent on these definitions and choices.

klabautermann
Messages
33
Reaction score
0
Hello!

I have a question regarding the construction of solutions to the Diracequation for generell [itex]\vec{p}[/itex]. In my lecturenotes (and also in Itzykson/Zuber) it is stated that it is easier than boosting the restframe-solutions, to construct them by using [tex](\gamma^{\mu}p_{\mu}+m)(\gamma^{\nu}p_{\nu}-m)=0[/tex] But how does that help me? Why do I get the appropriate solution if I operate on the restfram-solution with the Diracoperator: [tex]u^{\alpha}(p)=\frac{1}{N}(\gamma^{\mu}p_{\mu}+m)u^{\alpha}(m,\vec{0})[/tex]
Where [tex] u^{1}(m,\vec{0})=\left(\begin{array}{c}1\\0\\0\\0\end{array}\right)[/tex] and
[tex]u^{2}(m,\vec{0})=\left(\begin{array}{c}0\\1\\0\\0\end{array}\right)[/tex]

Thanks for your help!
 

Attachments

  • upload_2017-3-21_11-31-34.png
    upload_2017-3-21_11-31-34.png
    2.3 KB · Views: 548
Physics news on Phys.org
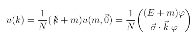
Let [itex]w(p)[/itex] be an arbitrary 4-component spinor. Now, using the dispersion relation [itex](p\!\!\!/ - m)(p\!\!\!/ + m) = 0[/itex] , you can easily show that [tex]u(p) = (p\!\!\!/ + m)w(p) ,[/tex] is a solution to the Dirac equation [itex](p\!\!\!/ - m)u(p) = 0[/itex] . Now take [tex]w(p) = \frac{1}{\sqrt{2m(E+m)}} u^{(\alpha)}(m,\vec{0}) \equiv \frac{1}{\sqrt{2m(E+m)}} \begin{pmatrix} \chi^{(\alpha)} \\ 0_{2} \end{pmatrix} ,[/tex] where [itex]\chi^{(1)} = \begin{pmatrix} 1 \\ 0 \end{pmatrix}[/itex], [itex]\chi^{(2)} = \begin{pmatrix} 0 \\ 1 \end{pmatrix}[/itex] and [itex]0_{2} = \begin{pmatrix} 0 \\ 0 \end{pmatrix}[/itex]. So, you have the following solutions [tex]u^{(\alpha)}(p) = \frac{1}{\sqrt{2m(E+m)}} \left( p\!\!\!/ + m \right) \begin{pmatrix} \chi^{(\alpha)} \\ 0_{2} \end{pmatrix} . \ \ \ \ (1)[/tex] In the Dirac representation, you have [tex]p\!\!\!/ + m = E \gamma^{0} - \vec{p} \cdot \vec{\gamma} + m I_{4} = \begin{pmatrix} (E+m)I_{2} & - \vec{p} \cdot \vec{\sigma} \\ \vec{p} \cdot \vec{\sigma} & - (E+m)I_{2} \end{pmatrix} .[/tex] Substituting this in (1) and doing the matrix multiplication, we get [tex]u^{(\alpha)}(p) = \frac{1}{\sqrt{2m(E+m)}} \begin{pmatrix} (E+m)\chi^{(\alpha)} \\ (\vec{p} \cdot \vec{\sigma}) \chi^{(\alpha)} \end{pmatrix} .[/tex]
 
  • Like
Likes   Reactions: vanhees71, odietrich and bhobba
Thank you for your reply. But why can you assume that by mutliplying the restframe spinor by [tex]\frac{1}{\sqrt{2m(E+m)}}[/tex] gives you a spinor w(p) with arbitrary p?
 
klabautermann said:
you assume that by mutliplying the restframe spinor by [tex]\frac{1}{\sqrt{2m(E+m)}}[/tex] gives you a spinor w(p) with arbitrary p?

No, I did not assume such thing because it is not correct: Multiplying [itex]u_{\alpha}(m,\vec{0})[/itex] by a constant does not turn it into a spinor [itex]w(p)[/itex] with arbitrary [itex]p[/itex], because [itex]\psi[/itex] and [itex]c\psi[/itex] represent the same spinor. Okay, let me repeat what I did, and please pay attention to my logic.

I said: let [itex]w(p)[/itex] be any (completely arbitrary) 4-component spinor. This statement means that we are free to choose [itex]w(p)[/itex] to be any spinor we like.

Then, I used the dispersion relation and concluded that [tex]u(p) = (p\!\!\!/ + m) w(p) , \ \ \ \ \ \ \ \ \ \ \ (1)[/tex] solves the Dirac’s equation [itex](p\!\!\!/ - m)u(p) = 0[/itex] . Now, because [itex]w[/itex] (in Eq(1)) is arbitrary, we can choose it to be the rest-frame spinor [itex]u_{\beta}(m,\vec{0}) = \begin{pmatrix} \chi_{\beta} \\ 0 \end{pmatrix}[/itex]. After all, at this time, [itex]u_{\beta}(m,\vec{0})[/itex] is the only spinor we have in our pocket. So in Eq(1), instead of [itex]w(p)[/itex], I substituted the rest-frame spinor [itex]N u_{\beta}(m,\vec{0})[/itex] and obtained the solutions [tex]u_{\beta}(p) = N \begin{pmatrix} (E + m)\chi_{\beta} \\ (\vec{p} \cdot \vec{\sigma}) \chi_{\beta} \end{pmatrix} . \ \ \ \ \ (2)[/tex]

Now in Eq(2), the 4-momentum [itex]p[/itex] does not have to be the rest-frame 4-momentum [itex](m , \vec{0})[/itex], and [itex]N[/itex] is some constant that we can choose to make our equations look nice. For example, if we insist on the normalization [itex]\bar{u}_{\alpha}(p) u_{\beta}(p) = \delta_{\alpha \beta}[/itex], we find (and I leave you to prove it) that [tex]N = \frac{e^{i\eta}}{\sqrt{2m(E+m)}} .[/tex]
 
  • Like
Likes   Reactions: vanhees71
I am perfectly aware of what the word 'arbitrary' means und what a normalization constant is. Anyway, thanks for your time.
 

Similar threads

  • · Replies 6 ·
Replies
6
Views
2K
  • · Replies 5 ·
Replies
5
Views
2K
  • · Replies 6 ·
Replies
6
Views
3K
  • · Replies 4 ·
Replies
4
Views
3K
  • · Replies 1 ·
Replies
1
Views
2K
  • · Replies 1 ·
Replies
1
Views
2K
  • · Replies 6 ·
Replies
6
Views
4K
  • · Replies 8 ·
Replies
8
Views
2K
  • · Replies 6 ·
Replies
6
Views
2K
  • · Replies 1 ·
Replies
1
Views
1K