Solve Cauchy's Inequality: Learn How with Examples

  • Thread starter Thread starter pivoxa15
  • Start date Start date
  • Tags Tags
    Inequality
Click For Summary

Homework Help Overview

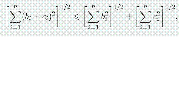
The discussion revolves around understanding Cauchy's inequality, specifically addressing a perceived discrepancy in its formulation as presented in a solutions sheet. Participants are examining the nature of the inequality and its components.

Discussion Character

  • Conceptual clarification, Assumption checking

Approaches and Questions Raised

  • Participants are questioning the formulation of Cauchy's inequality, particularly the operation involved (addition vs. multiplication). There are discussions about the direction of the inequality sign and how it affects the interpretation. Some participants describe their attempts to manipulate the inequality to revert to its original form, while others suggest alternative methods of applying the inequality.

Discussion Status

The discussion is active, with participants exploring different interpretations and approaches to the problem. Some guidance has been offered regarding the manipulation of the inequality, and various lines of reasoning are being considered without a clear consensus yet.

Contextual Notes

There is a mention of an attachment containing the equation, which is not visible to all participants. This may affect the clarity of the discussion and the assumptions being made about the inequality.

pivoxa15
Messages
2,250
Reaction score
1
In the solutions sheet, they had this equation in the attachment as Cauchy's inequality. How can that be? Cauchy's inequality involves a multiplication instead of an addition on the right hand side.
 

Attachments

  • Cauchy's equation.GIF
    Cauchy's equation.GIF
    9.7 KB · Views: 541
Physics news on Phys.org
We can't see the equation yet, but check what way the inequality sign is pointing..it doesn't always have to be the same side.
 
I worked it out. What they did was add two bits (to the original inequality) to each side and factorised to get three instead of two parts in the inequality. If you square both sides than you get the original inequality back.
 
Or work the other way: multiply out each term on the left hand side an use Cauchy's inequality on part of it.
 

Similar threads

  • · Replies 5 ·
Replies
5
Views
4K
Replies
2
Views
2K
  • · Replies 1 ·
Replies
1
Views
3K
  • · Replies 6 ·
Replies
6
Views
3K
  • · Replies 8 ·
Replies
8
Views
1K
  • · Replies 9 ·
Replies
9
Views
3K
  • · Replies 9 ·
Replies
9
Views
2K
  • · Replies 11 ·
Replies
11
Views
4K
  • · Replies 9 ·
Replies
9
Views
4K
  • · Replies 14 ·
Replies
14
Views
7K