Solve Multistage Amplifier Homework | Av=Av1*Av2

  • Thread starter Thread starter Drao92
  • Start date Start date
  • Tags Tags
    Amplifier
Click For Summary

Discussion Overview

The discussion revolves around solving a multistage amplifier circuit using the formula Av=Av1*Av2, where Av1 and Av2 represent the gains of the two stages. Participants explore the calculations of these gains, the role of various resistors, and the implications of assuming infinite beta for transistors.

Discussion Character

  • Homework-related
  • Mathematical reasoning
  • Debate/contested

Main Points Raised

  • One participant calculates Av1 and Av2 separately and arrives at Av=11.56, questioning the source of a 0.44 error in their approximation.
  • Another participant suggests that the gain can be approximated using the formula (R3//R2)(R5/R6) under the assumption of infinite beta and negligible r_be.
  • Some participants discuss the implications of ignoring the base current Ib2 when calculating the first stage gain, arguing that it can be considered negligible if beta is infinite.
  • There is a correction regarding the gain formula, with a participant initially stating it incorrectly as (R3/R2)(R5/R6) and later acknowledging the correct form as (R3/R4)(R5/R6).

Areas of Agreement / Disagreement

Participants express differing views on the assumptions regarding beta and the treatment of base currents in the calculations. There is no consensus on the exact values of the resistors or the final gain, indicating ongoing debate and uncertainty in the calculations.

Contextual Notes

Participants reference specific resistor values and their implications for gain calculations, but there are discrepancies in these values, leading to confusion. The discussion highlights the importance of assumptions in circuit design, particularly regarding beta and base currents.

Drao92
Messages
70
Reaction score
0

Homework Statement


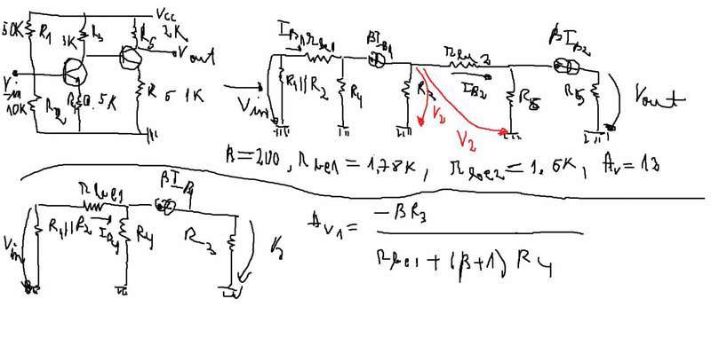
I want to solve the circuit using the formula Av=Av1*Av2 where Av1 and Av2 are the gains(volts) of the 2 stages and i have some questions.
V2 is equal with -(βIb1+Ib2)*R3=(β+1)Ib2*R5+Ib2*rbe2
Now when i calculate Av1 and Av2 i take each stage separately from circuit (example the 3rd circuit in pic)?

The Attempt at a Solution


The result must be 12.
My solution
Av1=-βR3/(rbe1+(β+1)R4))=-5.86
Av2=-βR6/(rbe2+(β+1)R5))=-1.97
Av=11.56
The error of 0.44 is because of aproximations or i did somthing wrong?
For the second transistor the emitter is to R6 resistor,npn.
https://www.physicsforums.com/attachment.php?attachmentid=58471&stc=1&d=1367681169
 

Attachments

  • Multistage.jpg
    Multistage.jpg
    30.8 KB · Views: 563
Last edited:
Physics news on Phys.org
Looks from your diagram like
R3 = 1K
R4 = 0.5K
R5 = 2K
R6 = 1K
from which the gain is approximately (R3//R2)(R5/R6) = 4
I must be misreading either R3 or R4.
Anyway, the gain computes to an even number only if you assume beta = infinity and r_be1 and r_be2 = 0. This is what people normally do.
 
R3=3k
R1=50k
R2=10k
Thanks for what did you say, if i limit beta to infinity it gives R3/R2*R5/R6, didnt know this:cool: .
Is it correct to take each stage separately? I ask this because if i take the first stage, i don't have the current which comes from the 2nd stage -Ib2 but because Ib2 is very small current we can ignore it?
 
Last edited:
Drao92 said:
R3=3k
R1=50k
R2=10k
Thanks for what did you say, if i limit beta to infinity it gives R3/R2*R5/R6, didnt know this:cool: .
Is it correct to take each stage separately? I ask this because if i take the first stage, i don't have the current which comes from the 2nd stage -Ib2 but because Ib2 is very small current we can ignore it?

Exactly right. ib2 = 0 if beta is infinite. I will go on a limb and say always consider beta = infinity IN A PROPERLY-DESIGNED CIRCUIT. Unfortunately, you will often come across non-correctly-designed circuits in textbooks, and for a good reason - they want you to include a finite beta and/or rbe at times just to make sure you understand how to handle these parameters. Once you're working you forget them, typically.

Especially beta. Beta varies so widely FROM ONE TRANSISTOR TO THE NEXT OF THE SAME TYPE that you have to design to beta = infinity. rbe is more predictable but in a properly designed circuit is usually negligible compared to other error sources.
 
rude man said:
Looks from your diagram like
R3 = 1K
R4 = 0.5K
R5 = 2K
R6 = 1K
from which the gain is approximately (R3//R2)(R5/R6) = 4

Shouldn't the gain be (R3/R4)(R5/R6)?
 
The Electrician said:
Shouldn't the gain be (R3/R4)(R5/R6)?

Yes. My boo-boo.
 
I have an ugly writing :wink:.
Thanks everyone for help.
 

Similar threads

  • · Replies 4 ·
Replies
4
Views
3K