Solve the following linear system

Click For Summary

Homework Help Overview

The discussion revolves around solving a linear system using row reduction methods, specifically echelon form. Participants are analyzing the steps taken to arrive at the solution and verifying the accuracy of the matrices involved in the process.

Discussion Character

  • Exploratory, Assumption checking, Problem interpretation

Approaches and Questions Raised

  • Participants discuss the row reduction method and the accuracy of the matrices at various steps. Some question the correctness of specific rows in the matrices presented, while others suggest alternative approaches or corrections to the original poster's work.

Discussion Status

The discussion is ongoing, with multiple participants providing feedback on the matrices used. Some have offered corrections, while others are exploring the implications of the findings, such as the existence of infinitely many solutions based on the values of certain variables.

Contextual Notes

There is mention of the need to verify the ranks of the system matrix and the augmented matrix to determine the existence of solutions. Participants are also considering the applicability of Cramer's rule and the efficiency of various methods for solving the system.

chwala
Gold Member
Messages
2,840
Reaction score
428
Homework Statement
See attached
Relevant Equations
Gauss - jordan and related methods
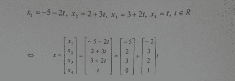
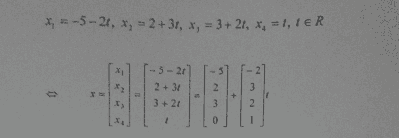
Find the problem below with the solution indicated;

1659635617600.png
1659635644391.png


1659635682057.png


1659635726205.png


The text approach is much clear to me...

My way of tackling the problem is as follows; using echelon form (row reduction method)

\begin{bmatrix}
1 & 1 & 2 & -5 &3\\
2 & 5 & -1 & -9&-3 \\
2 & 1 & -1 & 3&-11\\
1& -3 & 2 & 7&-5
\end{bmatrix}

\begin{bmatrix}
1 & 1 & 2 & -5 &3\\
0 & -3 & -3 & -1&9 \\
0 & 1 & 5 & -13&17\\
0& 4& 0 & -12&8
\end{bmatrix}
\begin{bmatrix}
1 & 1 & 2 & -5 &3\\
0 & -3 & -3 & -1&9 \\
0 & 0 & 12 & -40&60\\
0& 0& -12 & -40&60
\end{bmatrix}

\begin{bmatrix}
1 & 1 & 2 & -5 &3\\
0 & -3 & -3 & -1&9 \\
0 & 0 & 12 & -40&60\\
0& 0& 0 & -80&120
\end{bmatrix}It follows that,
##-80x_4=120##
##x_4=-1.5##

Also,
##12x_3-40x_4=60##
##⇒x_3=0##

Also,
##-3x_2-x_4=9##
##-3x_2=9-1.5##
##x_2=-2.5##

Also,
##x_1+x_2-5x_4=3##
##x_1-2.5+7.5=3##
##x_1=-2##

I just checked the text solution and i could see that the solutions agree when ##x_4=-1.5=t##

I would appreciate any other perspective.
 
Last edited:
Physics news on Phys.org
I think you have an error in Row 2 of the second matrix:

##\
\begin{bmatrix}
1 & 1 & 2 & -5 &3\\
0 & -3 & -3 & -1&9 \\
0 & 1 & 5 & -13&17\\
0& 4& 0 & -12&8
\end{bmatrix} ##

Added in Edit:

In fact the second row should be:

##\displaystyle \left[ \begin{matrix} 0 & -3 & 5 & -1 & 9 \end{matrix} \right] ##
 
Last edited:
  • Like
Likes   Reactions: chwala
SammyS said:
I think you have an error in Row 2 of the second matrix: ##
\begin{bmatrix}
1 & 1 & 2 & -5 &3\\
0 & -3 & -3 & -1&9 \\
0 & 1 & 5 & -13&17\\
0& 4& 0 & -12&8
\end{bmatrix} ##
I'll check that and revert back...
 
chwala said:
Homework Statement:: See attached
Relevant Equations:: Gauss - jordan and related methods

Find the problem below with the solution indicated;

View attachment 305359View attachment 305360

View attachment 305361

View attachment 305362

The text approach is much clear to me...

My way of tackling the problem is as follows; using echelon form (row reduction method)

\begin{bmatrix}
1 & 1 & 2 & -5 &3\\
2 & 5 & -1 & -9&-3 \\
2 & 1 & -1 & 3&-11\\
1& -3 & 2 & 7&-5
\end{bmatrix}

\begin{bmatrix}
1 & 1 & 2 & -5 &3\\
0 & -3 & -3 & -1&9 \\
0 & 1 & 5 & -13&17\\
0& 4& 0 & -12&8
\end{bmatrix}
\begin{bmatrix}
1 & 1 & 2 & -5 &3\\
0 & -3 & -3 & -1&9 \\
0 & 0 & 12 & -40&60\\
0& 0& -12 & -40&60
\end{bmatrix}

\begin{bmatrix}
1 & 1 & 2 & -5 &3\\
0 & -3 & -3 & -1&9 \\
0 & 0 & 12 & -40&60\\
0& 0& 0 & -80&120
\end{bmatrix}It follows that,
##-80x_4=120##
##x_4=-1.5##

Also,
##12x_3-40x_4=60##
##⇒x_3=0##

Also,
##-3x_2-x_4=9##
##-3x_2=9-1.5##
##x_2=-2.5##

Also,
##x_1+x_2-5x_4=3##
##x_1-2.5+7.5=3##
##x_1=-2##

I just checked the text solution and i could see that the solutions agree when ##x_4=-1.5=t##

I would appreciate any other perspective.
Amended;

\begin{bmatrix}
1 & 1 & 2 & -5 &3\\
2 & 5 & -1 & -9&-3 \\
2 & 1 & -1 & 3&-11\\
1& -3 & 2 & 7&-5
\end{bmatrix}
\begin{bmatrix}
1 & 1 & 2 & -5 &3\\
0 & -3 & 5 & -1&9 \\
0 & 1 & 5 & -13&17\\
0& 4& 0 & -12&8
\end{bmatrix}
\begin{bmatrix}
1 & 1 & 2 & -5 &3\\
0 & -3 & 5 & -1&9 \\
0 & 0 & 10 & -40&60\\
0& 0& 20 & -40&60
\end{bmatrix}
\begin{bmatrix}
1 & 1 & 2 & -5 &3\\
0 & -3 & 5 & -1&9 \\
0 & 0 & 10 & -40&60\\
0& 0& 0 & -40&60
\end{bmatrix}
It follows that,
##-40x_4=60##
##x_4=-1.5##
Also,
##10x_3-40x_4=60##
##⇒x_3=0##
Also,
##-3x_2-x_4=9##
##-3x_2=9-1.5##
##x_2=-2.5##
Also,
##x_1+x_2-5x_4=3##
##x_1-2.5+7.5=3##
##x_1=-2##
I just checked the text solution and i could see that the solutions agree when ##x_4=-1.5=t##
I would appreciate any other perspective.
 
Last edited:
chwala said:
Amended;

$$\begin{bmatrix}
1 & 1 & 2 & -5 &3\\
2 & 5 & -1 & -9&-3 \\
2 & 1 & -1 & 3&-11\\
1& -3 & 2 & 7&-5
\end{bmatrix}$$
$$\begin{bmatrix}
1 & 1 & 2 & -5 & 3\\
0 & -3 & 5 & -1 & 9 \\
0 & 1 & 5 & -13 & 17\\
0& 4& 0 & -12 & 8
\end{bmatrix}$$
$$\begin{bmatrix}
1 & 1 & 2 & -5 &3\\
0 & -3 & 5 & -1&9 \\
0 & 0 & 10 & -40&60\\
0& 0& 20 & -40&60
\end{bmatrix}$$
No that is not correct.

The following is now correct for the second matrix.

##\begin{bmatrix}
1 & 1 & 2 & -5 &3\\
0 & -3 & 5 & -1&9 \\
0 & 1 & 5 & -13&17\\
0& 4& 0 & -12&8
\end{bmatrix} ##

Take 3 times Row 3 added to Row 2 and use this for Row 3 in the third matrix. This gives the same result as what you have correctly given for Row 4 of the third matrix.

The third matrix should be:

##\begin{bmatrix}
1 & 1 & 2 & -5 & 3 \\
0 & -3 & 5 & -1 & 9 \\
0 & 0 & 20 & -40 & 60 \\
0& 0& 20 & -40 & 60
\end{bmatrix} ##
 
SammyS said:
No that is not correct.

The following is now correct for the second matrix.

##\begin{bmatrix}
1 & 1 & 2 & -5 &3\\
0 & -3 & 5 & -1&9 \\
0 & 1 & 5 & -13&17\\
0& 4& 0 & -12&8
\end{bmatrix} ##

Take 3 times Row 3 added to Row 2 and use this for Row 3 in the third matrix. This gives the same result as what you have correctly given for Row 4 of the third matrix.

The third matrix should be:

##\begin{bmatrix}
1 & 1 & 2 & -5 & 3 \\
0 & -3 & 5 & -1 & 9 \\
0 & 0 & 20 & -40 & 60 \\
0& 0& 20 & -40 & 60
\end{bmatrix} ##
What do you mean by saying my steps are not correct? The amended steps in post ##4## are correct...argghhhhhh true ... thanks @SammyS
 
  • Like
Likes   Reactions: Delta2
chwala said:
What do you mean by saying my steps are not correct? The amended steps in post ##4## are correct...argghhhhhh true ... thanks @SammyS
##x_4## can take on any value.
 
SammyS said:
##x_4## can take on any value.
True we shall end up with ##20x_3-40x_4=60## implying that we shall have infinetely many solutions...by either setting ##x_3=t## or ##x_4=t## and not necessarily ##x_4## only.

##x_3## or ##x_4## can take any value...on setting ##x_3=t## we shall end up with,

##x_1=-2-t##
##x_2=\dfrac{9t-15}{6}=\dfrac{3t-5}{2}##
##x_3=t##
##x_4=\dfrac{t-3}{2}## where ##t## is the independent variable.
 
Last edited:
chwala said:
##x_3## or ##x_4## can take any value...on setting ##x_3=t## we shall end up with,

##x_1=-2-t##
##x_2=\dfrac{9t-15}{6}=\dfrac{3t-5}{2}##
##x_3=t##
##x_4=\dfrac{t-3}{2}## where ##t## is the independent variable.
Show your workings.
 
  • #10
pbuk said:
Show your workings.
Ok I will later...
 
  • #11
pbuk said:
Show your workings.
Let ##x_3=t##

then using the equation;

##x_3-2x_4=3##

we shall have

##t-2x_4=3##

##x_4= \dfrac{t-3}{2}##

and from
##-3x_2+5x_3- x_4=9##

## -3x_2+5x_3-\left[\dfrac{t-3}{2}\right]=9##

##-6x_2+10t-t+3=18##

##-6x_2+9t=15##

##6x_2=9t-15##

##x_2##=##\dfrac{9t-15}{6}##=##\dfrac{3t-5}{2}##

And from;

##x_1+x_2+2x_3-5x_4=3##

We shall have;

##2x_1+3t-5+4t-5t+15=6##

##2x_1+2t+10=6##

##2x_1=-2t-4##

##x_1=-t-2##
 
  • #12
Just thinking...I will need to try and see if we can solve the problem by using determinant and Cramer's rule...I guess an exercise for the weekend :smile:
 
Last edited:
  • #13
Cramer's rule works if the system matrix is nonsingular. I would advise not using Cramer's method. It's computationally inefficient. If Step 2 in the first post is correct, then Cramer's method is inapplicable, anyway.

You should check whether solutions to your system even exist in the first place. Verify that the ranks of the system matrix and the augmented matrix are equal. If this is not the case, then there's no reason to do any further work. (cf Kronecker-Capelli criterion)

Usually, this check is performed at Step 2. It's easy to see that the system matrix is of rank ##3##. Thus, solutions exist.
 
Last edited:
  • Like
Likes   Reactions: chwala
  • #14
nuuskur said:
Cramer's rule works if the system matrix is nonsingular. I would advise not using Cramer's method. It's computationally inefficient. If Step 2 in the first post is correct, then Cramer's method is inapplicable, anyway.

You should check whether solutions to your system even exist in the first place. Verify that the ranks of the system matrix and the augmented matrix are equal. If this is not the case, then there's no reason to do any further work. (cf Kronecker-Capelli criterion)

Usually, this check is performed at Step 2. It's easy to see that the system matrix is of rank ##3##. Thus, solutions exist.
Thanks I will try...and also do a refresher on rank, dimension of matrix form...let me see what comes out of my trial...
 
  • #15
nuuskur said:
Cramer's rule works if the system matrix is nonsingular. I would advise not using Cramer's method. It's computationally inefficient. If Step 2 in the first post is correct, then Cramer's method is inapplicable, anyway.

You should check whether solutions to your system even exist in the first place. Verify that the ranks of the system matrix and the augmented matrix are equal. If this is not the case, then there's no reason to do any further work. (cf Kronecker-Capelli criterion)

Usually, this check is performed at Step 2. It's easy to see that the system matrix is of rank ##3##. Thus, solutions exist.
Thanks I will try...and also do a refresher on rank, dimension of matrix form...let me see what comes out of my trial
nuuskur said:
Cramer's rule works if the system matrix is nonsingular. I would advise not using Cramer's method. It's computationally inefficient. If Step 2 in the first post is correct, then Cramer's method is inapplicable, anyway.

You should check whether solutions to your system even exist in the first place. Verify that the ranks of the system matrix and the augmented matrix are equal. If this is not the case, then there's no reason to do any further work. (cf Kronecker-Capelli criterion)

Usually, this check is performed at Step 2. It's easy to see that the system matrix is of rank ##3##. Thus, solutions exist.
aaaargh @nuuskur ... the determinant of this matrix is ##0## i.e
from

\begin{bmatrix}
1 & 1 & 2 & -5 \\
2 & 5 & -1 & -9 \\
2 & 1 & -1 & 3\\
1& -3 & 2 & 7
\end{bmatrix}

using
1. ##R_2-2R1##
2. ##R_3-2R_1##
3. ##R_4-R_1##

We shall have;
\begin{bmatrix}
1 & 1 & 2 & -5 \\
0 & 3 & -5 & 1 \\
0 & -1 & -5 & 13\\
0& -4 & 0& 12
\end{bmatrix}

The determinant is given by;

##1[3(-60)+5(-12+52)+1(0-20)]=-180+180=0## implying existence of dependent solutions as earlier seen.
 
Last edited:
  • #16
chwala said:

My way of tackling the problem is as follows; using echelon form (row reduction method)

\begin{bmatrix}
1 & 1 & 2 & -5 &3\\
2 & 5 & -1 & -9&-3 \\
2 & 1 & -1 & 3&-11\\
1& -3 & 2 & 7&-5
\end{bmatrix}

\begin{bmatrix}
1 & 1 & 2 & -5 &3\\
0 & -3 & -3 & -1&9 \\
0 & 1 & 5 & -13&17\\
0& 4& 0 & -12&8
\end{bmatrix}
If you want help, it would be nice if you indicated what row operations you were doing on each row.
Like your r2 row operation to get the second matrix is -(r2-r1) => r2. And your r3 row operation to get your third matrix is (r2+3*r3) => r3.
That way, we can help and don't have to spend time fishing around.
 
  • Like
Likes   Reactions: chwala
  • #17
FactChecker said:
If you want help, it would be nice if you indicated what row operations you were doing on each row.
Like your r2 row operation to get the second matrix is -(r2-r1) => r2. And your r3 row operation to get your third matrix is (r2+3*r3) => r3.
That way, we can help and don't have to spend time fishing around.
You made a mistake (I guess a typo mistake) on the second row.

##4--1=5## and not ##-3##.
 
Last edited:
  • #18
chwala said:
You made a mistake (I guess a typo mistake) on the second row.

##4--1=5## and not ##-3##.
Right. My next guess would be -(r2-2*r1) => r2. No, that only works for the first two columns. I think that makes my point. Suppose you tell me what you did instead of making me guess.
 
  • #19
FactChecker said:
Right. My next guess would be -(r2-2*r1) => r2. No, that only works for the first two columns. I think that makes my point. Suppose you tell me what you did instead of making me guess.

\begin{bmatrix}
1 & 1 & 2 & -5 &3\\
2 & 5 & -1 & -9&-3 \\
2 & 1 & -1 & 3&-11\\
1& -3 & 2 & 7&-5
\end{bmatrix}

Using row-reduction echelon form i.e

##2R_1-R_2##
##2R_1-R_3##
##R_1-R_4##

We get;

\begin{bmatrix}
1 & 1 & 2 & -5 &3\\
0 & -3 & 5 & -1&9 \\
0 & 1 & 5 & -13&17\\
0& 4& 0 & -12&8
\end{bmatrix}

On using;

##R_2+3R_3##
##4R_2+3R_3##

We get;
\begin{bmatrix}
1 & 1 & 2 & -5 &3\\
0 & -3 & 5 & -1&9 \\
0 & 0 & 20 & -40&60\\
0& 0& 20 & -40&60
\end{bmatrix}

From this the steps to solution will follow as indicated in my posts ##8## and ##11##.
 
Last edited:
  • Like
Likes   Reactions: FactChecker
  • #20
chwala said:
\begin{bmatrix}
1 & 1 & 2 & -5 &3\\
2 & 5 & -1 & -9&-3 \\
2 & 1 & -1 & 3&-11\\
1& -3 & 2 & 7&-5
\end{bmatrix}

Using row-reduction echelon form i.e

##2R_1-R_2##
##2R_1-R_3##
##R_1-R_4##

We get;

\begin{bmatrix}
1 & 1 & 2 & -5 &3\\
0 & -3 & 5 & -1&9 \\
0 & 1 & 5 & -13&17\\
0& 4& 0 & -12&8
\end{bmatrix}

On using;

##R_2+3R_3##
##4R_2+3R_3##

We get;
\begin{bmatrix}
1 & 1 & 2 & -5 &3\\
0 & -3 & 5 & -1&9 \\
0 & 0 & 20 & -40&60\\
0& 0& 20 & -40&60
\end{bmatrix}

From this the steps to solution will follow as indicated in my posts ##8## and ##11##.
Thanks! That helped me a lot to follow your work.
 
  • Like
Likes   Reactions: chwala
  • #21
@chwala
Be careful of your choice of free variables. In this instance you have chosen correctly, because the system is of the form
[tex] \begin{bmatrix}<br /> x_1 & x_2 & x_3 & x_4 & b\\<br /> 1 & 1 & 2 & -5 &3\\<br /> 0 & -3 & 5 & -1&9 \\<br /> 0 & 0 & 2 & -4&6\\<br /> \end{bmatrix}[/tex]
The minor corresponding to ##x_1,x_2,x_4 ## (i.e rows 123 and columns 124) is nonzero, therefore ##x_3## maybe regarded as free. Similarly, ##x_4## can also be free. In fact, anything here is free.

If the situation were something like this instead
[tex] \begin{bmatrix}<br /> x_1 & x_2 & x_3 & x_4 & b\\<br /> 1 & 1 & 2 & -5 &3\\<br /> 0 & -3 & -6 & -1&9 \\<br /> 0 & 1 & 2 & -4&6\\<br /> \end{bmatrix}[/tex]
then ##x_4## cannot be regarded as free. (consider the Kronecker-Capelli theorem)

In general, one determines the rank of the system and finds a nonzero minor of that order. All variables that are "outside" of the minor can be regarded as free.
 
Last edited:
  • Like
Likes   Reactions: chwala
  • #22
nuuskur said:
@chwala
Be careful of your choice of free variables. In this instance you have chosen correctly, because the system is of the form
[tex] \begin{bmatrix}<br /> x_1 & x_2 & x_3 & x_4 & b\\<br /> 1 & 1 & 2 & -5 &3\\<br /> 0 & -3 & 5 & -1&9 \\<br /> 0 & 0 & 2 & -4&6\\<br /> \end{bmatrix}[/tex]
The minor corresponding to ##x_1,x_2,x_4 ## (i.e rows 123 and columns 124) is nonzero, therefore ##x_3## maybe regarded as free. Similarly, ##x_4## can also be free. In fact, anything here is free.

If the situation were something like this instead
[tex] \begin{bmatrix}<br /> x_1 & x_2 & x_3 & x_4 & b\\<br /> 1 & 1 & 2 & -5 &3\\<br /> 0 & -3 & -6 & -1&9 \\<br /> 0 & 1 & 2 & -4&6\\<br /> \end{bmatrix}[/tex]
then ##x_4## cannot be regarded as free. (consider the Kronecker-Capelli theorem)

In general, one determines the rank of the system and finds a nonzero minor of that order. All variables that are "outside" of the minor can be regarded as free.
Thanks! Let me look at the Kronecker - Capelli theorem. I am hearing it for the 1st time...:cool:
 

Similar threads

  • · Replies 9 ·
Replies
9
Views
1K
  • · Replies 19 ·
Replies
19
Views
2K
Replies
9
Views
4K
  • · Replies 1 ·
Replies
1
Views
2K
  • · Replies 5 ·
Replies
5
Views
3K
  • · Replies 7 ·
Replies
7
Views
3K
  • · Replies 11 ·
Replies
11
Views
2K
  • · Replies 7 ·
Replies
7
Views
2K
  • · Replies 1 ·
Replies
1
Views
1K
  • · Replies 2 ·
Replies
2
Views
3K