Solve the variance problem below - statistics

Click For Summary

Homework Help Overview

The discussion revolves around a statistics problem focused on calculating variance. Participants are exploring different approaches and clarifying their understanding of the relevant equations and concepts.

Discussion Character

  • Exploratory, Conceptual clarification, Mathematical reasoning

Approaches and Questions Raised

  • Participants are sharing their own workings and proofs related to the variance formula. Some are seeking alternative methods and questioning the completeness of the proofs presented. There is an emphasis on understanding the relationship between the mean and variance calculations.

Discussion Status

The discussion is ongoing, with participants providing feedback on each other's proofs and clarifying points of confusion. Some have expressed a desire to verify their understanding and are engaging with the material actively.

Contextual Notes

There are references to a mark scheme and personal workings, indicating that participants are working within the constraints of a homework assignment. Some participants are refreshing their knowledge of statistics as part of this discussion.

chwala
Gold Member
Messages
2,841
Reaction score
428
Homework Statement
see attached
Relevant Equations
variance
The question is below:

1635595952630.png


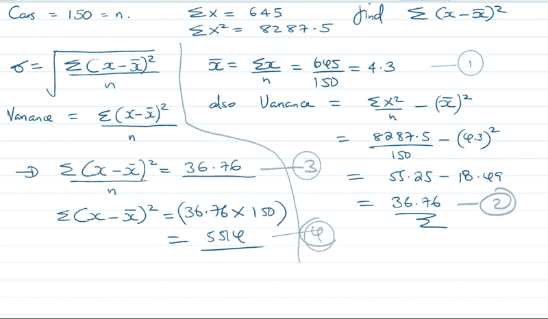
below is my own working;
1635596053833.png
the mark scheme for the question is below here;
1635596099561.png


i am seeking for any other approach that may be there...am now trying to refresh on stats...bingo!
 
  • Like
Likes   Reactions: Delta2
Physics news on Phys.org
chwala said:
Homework Statement:: see attached
Relevant Equations:: variance

The question is below:

View attachment 291394

below is my own working;
View attachment 291395the mark scheme for the question is below here;
View attachment 291396

i am seeking for any other approach that may be there...am now trying to refresh on stats...bingo!
Here's a quicker way:
##\sum (x - \bar x)^2 = \sum x^2 - N \cdot \bar x^2##

Proof:
##\sum (x - \bar x)^2 = \sum(x^2 - 2x\cdot \bar x + \bar x^2) ##
##= \sum x^2 - 2\cdot \bar x \sum x + \sum \bar x^2 = \sum x^2 - 2\bar x \cdot N \cdot \bar x + N \bar x^2 = \sum x^2 - N \cdot \bar x^2##
All summations are from n = 1 to N.
In the proof above, I'm using the fact that ##\sum x = N \bar x##
 
Last edited:
  • Like
Likes   Reactions: chwala
Is the proof missing something...I will counter check it later...
 
I just had a look at your proof...thanks Mark...I wasn't certain on the last part of your equation involving the mean. Its now clear to me from my study (shown below). Bingo!

1635679616725.png
 
Last edited:
chwala said:
I just had a look at your proof...thanks Mark...I wasn't certain on the last part of your equation involving the mean. Its now clear to me from my study. Bingo!
Yes, that's it. I've edited my post to change 'n' to 'N', which I hope makes it clearer.
 

Similar threads

  • · Replies 2 ·
Replies
2
Views
2K
  • · Replies 8 ·
Replies
8
Views
2K
  • · Replies 7 ·
Replies
7
Views
2K
  • · Replies 3 ·
Replies
3
Views
1K
Replies
2
Views
1K
Replies
0
Views
1K
  • · Replies 8 ·
Replies
8
Views
2K
Replies
5
Views
2K
  • · Replies 4 ·
Replies
4
Views
1K
Replies
3
Views
1K