Solving for <E^2> of a non-stationary state of the QSHO

  • Context: Undergrad 
  • Thread starter Thread starter hnicholls
  • Start date Start date
  • Tags Tags
    State
Click For Summary
SUMMARY

The discussion focuses on calculating for a non-stationary state of the Quantum Simple Harmonic Oscillator (QSHO) represented by the wave function Ψ = [βxe^(-3iωt/2) + e^(-5iωt/2)]. The textbook solution indicates that equals 6.17 ħ²ω², derived from the integral = ∫ Ψ*Ĥ²Ψ dx. The participant highlights a discrepancy in their calculations, noting that while the cross term ∫ Ψ1*Ĥ²Ψ2 dx is zero due to being an odd function, the term ∫ Ψ2*Ĥ²Ψ1 dx is not zero, suggesting a failure to eliminate time dependence as expected. This indicates a potential misunderstanding of the orthogonality of the states involved.

PREREQUISITES
  • Understanding of Quantum Mechanics, specifically the Quantum Simple Harmonic Oscillator (QSHO)
  • Familiarity with wave functions and their properties
  • Knowledge of the Hamiltonian operator (Ĥ) in quantum systems
  • Proficiency in performing integrals involving complex functions
NEXT STEPS
  • Review the properties of orthogonal wave functions in quantum mechanics
  • Study the derivation of energy eigenvalues for the Quantum Simple Harmonic Oscillator
  • Learn about the implications of odd and even functions in quantum integrals
  • Explore advanced topics in non-stationary quantum states and their time evolution
USEFUL FOR

Students and researchers in quantum mechanics, particularly those studying the Quantum Simple Harmonic Oscillator, as well as physicists working on non-stationary states and their energy calculations.

hnicholls
Messages
49
Reaction score
1
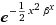
I have the following non-stationary state of the QSHO:

Ψ =
MSP14861g00452b9i950b850000666ab1heg86823ge
[
gif&s=25.gif
gif&s=25.gif
gif&s=62.gif
e −3iωt/2 +
gif&s=62.gif
[
gif&s=49.gif
]
MSP8371000i0f8f1dc4d9600003a38cih2f043h9c3
e −5iωt/2]

where β = mω/ħ

in calculating <E2>

The answer I see in the textbook is 6.17 ħ2ω2.

This answer suggests that in calculating <E2> = ∫ Ψ*Ĥ2Ψ dx

where Ψ is composed of the above two terms Ψ1 and Ψ2 (a linear combination of E1 and E2 of the QSHO) the cross terms need to be zero to eliminate the time dependence as reflected in the answer in the textbook.

This leaves us with the inside and outside terms

∫ Ψ12Ψ1 dx + ∫ Ψ22Ψ2 dx and calculating the sum of these inside and outside terms producing the answer in the textbook.

However, as I calculated the cross terms ∫ Ψ12Ψ2 dx is zero as it is an odd function, but ∫ Ψ22Ψ1 dx is not zero as it is an even function. This would not eliminate the time dependence and would not result in a non oscillating result as reflected in the textbook.

Am I missing something here?
 

Attachments

  • upload_2017-7-13_21-8-3.png
    upload_2017-7-13_21-8-3.png
    2.2 KB · Views: 457
  • upload_2017-7-13_22-3-30.png
    upload_2017-7-13_22-3-30.png
    267 bytes · Views: 461
Physics news on Phys.org
Sorry part of Ψ did not load

Ψ =
upload_2017-7-13_22-17-2.png
[
upload_2017-7-13_22-20-37.png
βx
upload_2017-7-13_22-21-56.png
e −3iωt/2 +
upload_2017-7-13_22-23-56.png
[
upload_2017-7-13_22-23-37.png
]
upload_2017-7-13_22-17-30.png
e −5iωt/2]
 

Similar threads

  • · Replies 2 ·
Replies
2
Views
2K
  • · Replies 15 ·
Replies
15
Views
4K
Replies
3
Views
1K
Replies
1
Views
3K
  • · Replies 8 ·
Replies
8
Views
2K
  • · Replies 11 ·
Replies
11
Views
2K
  • · Replies 6 ·
Replies
6
Views
2K
  • · Replies 6 ·
Replies
6
Views
6K
Replies
7
Views
3K
  • · Replies 3 ·
Replies
3
Views
7K